medigraphic.com
ENGLISH

Medicina Crítica

  • Mostrar índice
  • Números disponibles
  • Información
    • Información general        
    • Directorio
  • Publicar
    • Instrucciones para autores        
  • Políticas
  • Lineamientos
  • medigraphic.com
    • Inicio
    • Índice de revistas            
    • Registro / Acceso
  • Mi perfil

2022, Número 8

<< Anterior Siguiente >>

Med Crit 2022; 36 (8)


Asociación del signo de Godet con la medición por ultrasonido del edema periférico y balance de líquidos. El resurgir de la clínica

Zapata Chan, Carlos Gabriel1; Alva Arroyo, Nancy Verónica1; Gasca Aldama, José Carlos2; Pizaña Dávila, Alejandro1; Jaramillo, Agustín Eduardo1; Ruiz Ortega, Alan Abdala3
Texto completo Cómo citar este artículo 10.35366/109170

DOI

DOI: 10.35366/109170
URL: https://dx.doi.org/10.35366/109170
Artículos similares

Idioma: Español
Referencias bibliográficas: 17
Paginas: 500-506
Archivo PDF: 270.75 Kb.


PALABRAS CLAVE

sobrecarga de líquidos, edema periférico, ultrasonido, signo de Godet.

RESUMEN

Introducción: la administración de líquidos representa una intervención terapéutica de primera línea. Sin embargo, con frecuencia esto conduce a sobrecarga de líquidos, lo que se asocia con alta mortalidad. Objetivo: describir la asociación del edema periférico medido por ultrasonido con el balance hídrico acumulado diario y comparar su correlación con el signo de Godet. Material y métodos: pacientes adultos que ingresaron a la unidad de terapia intensiva (UTI) con más de 24 h de estancia y datos clínicos de sobrecarga hídrica. Diseño: es un estudio observacional, prospectivo, longitudinal, simple ciego, piloto. Cálculo de muestra n = 72 pacientes. Resultados: la mediana de edad fue de 45 años, 96.6% estuvo con ventilación mecánica, todos los pacientes presentaron desenlace en el análisis multivariado ajustado y se detectó que hay asociación del signo de Godet con la medición del edema por ultrasonido, observando una fuerte correlación explicada por una R2 87% p = 0.0001. Por último, se realizó otra regresión de los mililitros del balance hídrico acumulado asociada con los milímetros del edema medidos por ultrasonido, encontrando una R2 82% (IC 95% 1.47-3.70 p = 0.0001) interpretado como una fuerte asociación. Conclusiones: el signo de Godet se asoció fuertemente con los milímetros del edema medido por ultrasonido, además tiene una fuerte asociación entre el balance de líquido acumulado por día con los milímetros de edema que se incrementan en el tejido periférico por sobrecarga al día.



INTRODUCCIóN

La administración de líquidos representa una intervención terapéutica de primera línea para mejorar el gasto cardiaco en diversas patologías. Sin embargo, sólo 50% aproximadamente de los pacientes responden a la infusión de líquidos con un aumento significativo del gasto cardiaco, definido como "paciente respondedor" o "no respondedor" a líquidos.1. La reanimación óptima con líquidos puede garantizar la estabilidad hemodinámica y mejorar la perfusión de tejidos y órganos, pero con frecuencia conduce a una sobrecarga de líquidos.2

Varias investigaciones indican que la sobrecarga de líquidos se asocia con múltiples efectos adversos como la recuperación deficiente de lesión renal aguda, necesidad de ventilación mecánica, cicatrización deficiente y asociada a síndrome compartimental abdominal.3,4

Manu Malbrain y colaboradores demostraron que la administración de líquidos en exceso produce sobrecarga hídrica que se acumula en distintos órganos (riñón, hígado, vísceras gastrointestinales, cardiovascular, pulmonar, sistema nervioso central) aumentando la mortalidad.5

Paradójicamente, existe evidencia de que no sólo el balance de líquidos positivo aumenta la mortalidad en los pacientes en estado crítico, sino que también el balance de líquidos negativo se ha asociado con un incremento en la mortalidad de estos pacientes en comparación con los pacientes que tienen balance de líquidos neutro.6

Los puntos de evidencia actuales sugieren que la sobrecarga de líquidos y el balance acumulado de líquidos están asociados con la mortalidad en pacientes con lesión renal aguda, sepsis, insuficiencia respiratoria y en el postoperatorio. Además, existe una correlación positiva entre la cantidad de balance de líquidos positivo y la mortalidad en el enfermo en estado crítico.7,8

El edema periférico es una manifestación común de muchos estados patológicos. El diagnóstico y manejo adecuados exigen una comprensión de los principios fisiológicos que rigen su formación. Al dirigir la terapia específica a la corrección de la alteración hemodinámica capilar subyacente se puede detener o revertir el desarrollo del edema. El estilo de vida y la modificación de la dieta junto con la farmacoterapia también son útiles en el tratamiento a largo plazo.9

El glucocálix desempeña un papel en el mantenimiento de la integridad vascular en al menos dos formas importantes. En primer lugar, sirve como barrera pasiva para la salida de proteínas y líquido de la luz capilar. En este sentido es útil por aumentar las fuerzas de Starling evitando la fuga de líquido capilar y la formación de edema. En segundo lugar, el glucocálix es una estructura dinámica ligada funcionalmente a la membrana celular y al citoesqueleto y se ha demostrado que funciona como un mecano-transductor de presión y esfuerzo constante dentro de la luz vascular.10 Este glucocálix se ve afectado en pacientes gravemente enfermos por diferentes etiologías, motivo por el cual se menciona en este estudio.

Por otra parte, el ultrasonido es la transformación de energía eléctrica en ondas mecánicas. Estos sonidos no son audibles para el ser humano. Dichas vibraciones mecánicas se manifiestan al entrar en contacto con la piel, las ondas de sonido rebotan contra las estructuras del cuerpo por medio del transductor, que asimismo refleja una imagen en tiempo real, lo que hace posible reconstruir un mapa bidimensional o tridimensional de los tejidos que pueden ser observados en un monitor. Los distintos tejidos alteran las ondas de forma diferente, algunos la reflejan directamente y otros la dispersan en forma de ecos antes de que lleguen al transductor.11 Este método diagnóstico tiene la ventaja de ser seguro, no invasivo ni dañino para el cuerpo, no emite radiaciones, es barato y puede ser utilizado a la cabecera del paciente, lo que sirve de guía para normar conductas terapéuticas en tiempo real en caso de ser necesario y como desventaja es que es operador dependiente. En los últimos 40 años la ecografía se ha convertido en una importante modalidad diagnóstica.12

El edema puede medirse de dos maneras:

  • 1. Por el signo de Godet (también llamado signo de la fóvea), del cual se sabe fue descrito por primera vez por un médico neumólogo, consta de una clasificación con cuatro niveles y puede representarse en milímetros (mm), grados (1, 2, 3 y 4) o cruces (+, ++, +++, ++++), además puede clasificarse según el tiempo de desaparición de la impronta (instantáneo, 10 segundos, 1 minuto o 5 minutos) que traduce la cantidad de líquido existente en el tejido celular subcutáneo.
  • 2. Por ultrasonido. Midiendo el grosor del tejido celular subcutáneo.



MATERIAL Y MéTODOS

En el estudio se incluyeron pacientes adultos mayores de 18 años que ingresaron a la Unidad de Terapia Intensiva (UTI) del Hospital Ángeles Mocel de la Ciudad de México y el Hospital Juárez de México. Se utilizó un ultrasonido portátil marca General Electric VenueTM así como el llenado de las hojas de enfermería, donde se especifican los signos vitales, uresis y más variables dinámicas por hora, al final del día se realizó un balance hídrico con ingresos y egresos de los pacientes.

Objetivo general: describir la asociación del edema periférico medido por ultrasonido con el balance hídrico acumulado diario y comparar su correlación con el signo de Godet

Objetivos secundarios: 1. Relacionar los mililitros de balance acumulado diario con el grosor del edema periférico medido por ultrasonido. 2. Determinar si el uso de ultrasonido portátil predice la acumulación de balance hídrico por medición periférica. 3. Analizar el balance hídrico acumulado global al egreso del paciente en la terapia intensiva y su asociación con edema periférico (Godet). 4. Describir la relación entre la medición de edema periférico por ultrasonido comparado con el signo de Godet.

Criterios de inclusión: pacientes ingresados a la unidad de terapia intensiva, > 18 años y estancia > 24 h.

Criterios de exclusión: quemaduras de segundo y tercer grado de extremidades, pacientes con amputación de extremidades. Datos incompletos o dudosos en la hoja de enfermería.

Criterios de eliminación: participante o representante legal que solicitó salir del estudio voluntariamente o que no completó datos. Alergias al gel transductor. Trasladados de otro hospital y pacientes en terapia de reemplazo renal.

Intervención propuesta: a la llegada del enfermo a la sala de terapia intensiva se le explicó al familiar o paciente (si éste se encontraba en condiciones) sobre la intervención a realizar. Se informó al paciente o familiar las características del método: no invasivo y que no compromete la vida del paciente. Al cumplir 24 h de estancia en el servicio se tomaron mediciones los días 3, 5, 7 y 9 o hasta su egreso. La intervención consistió: el primer investigador colocó un transductor lineal en "modo tejido blandos" en los miembros superiores e inferiores, midiendo en milímetros el edema periférico y en caso de no tener edema periférico se colocó 0 (cero). El segundo investigador cegado del resultado. ingresó con el paciente, observó las extremidades con edema, realizó la maniobra de Godet midiendo por cruces, siendo equivalente cada cruz (+) a 1 mm y el tiempo en regresar la piel a su forma original. Al salir se anotaba en la hoja el número de cruces encontradas. Por último, se recababa el balance de líquidos al final de cada día y se anotaba en las hojas de enfermería. Los dos investigadores permanecieron cegados ante la intervención.



PROCEDIMIENTOS PARA LA RECOLECCIóN DE INFORMACIóN, INSTRUMENTOS A UTILIZAR

Se proporcionó a un familiar del paciente el documento de consentimiento informado para situaciones especiales en terapia intensiva. Una vez ingresado el paciente, se calculó puntaje de gravedad usando el Simplified Acute Physiology Score II (SAPS II), el puntaje de evaluación de falla orgánica (SOFA) y APACHE II, diagnóstico de ingreso así como número de expediente y número de participante; se anotó en la parte posterior del cuestionario y se guardó para posteriormente vaciar la información recolectada en una hoja de Excel para manejo de datos privados.



CáLCULO DE MUESTRA

Will Jaffe y colaboradores, en 2018,13 encontraron una incidencia de 80% de balance positivo acumulado con mortalidad a partir de las 72 h con una p = 0.05. Se usó el programa estadístico G1 power para conocer el tamaño muestral empleando un tamaño del efecto de 0.7, error alfa de 0.05 y poder estadístico de 0.80.

Por ser un estudio de asociación (correlación) se utilizó la fórmula de eventos por variable, 10 × (número de variables independientes/frecuencia del desenlace). Resultando un total de 63 pacientes que cumplen con el desenlace; se calculó 15% de pérdidas. Se agregó al final un total de 72 pacientes que cumplían con el desenlace (sobrecarga hídrica).



RESULTADOS

En total se incluyeron 72 pacientes, de los cuales 44 (61.1%) fueron hombres, la mediana de edad fue de 45 años (rango 34.5-60.2), la media de índice de masa corporal (IMC) 29 kg/m2 (± 5.2). Las escalas de severidad de los pacientes al ingreso fueron: la mediana de SOFA 7 (rango 8-10), la mediana de SAPS II 30 (rango 33.5-44.7). Los pacientes con ventilación mecánica invasiva fueron 68 (94.4%). Con comorbilidades 35 (48.6%), siendo la más frecuente diabetes mellitus en 14 (15.6%) pacientes. Los diagnósticos de ingreso por frecuencia fueron: traumatismo craneoencefálico grave 15 (20.8%), síndrome de insuficiencia respiratoria aguda 7 (9.6%), trauma múltiple 6 (8.3%) y peritonitis secundaria. Los días de inicio de furosemida en bolo fueron el día 4 y 5 (5.6%). A 14 (19.4%) pacientes se les inició infusión de furosemida, y albúmina en bolo a 10 (13.8%) pacientes en el día 5. La mortalidad fue de 18.1% (Tabla 1).

Posteriormente, se realizó un análisis univariado (Tabla 2); las variables que alcanzaron significancia estadística se sometieron a un primer análisis de regresión multivariado. El análisis multivariado reveló una R2 de 87% p = 0.0001 de asociación, resultando el signo Godet día 3, OR 3.8 (IC 95% 2.55-3.79 p = 0.020), día 5, OR 6.14 (IC 95% 4.31-6.01 p = 0.003), día 7, OR 3.19 (IC 95% 2.20-3.8. p = 0.047); balance en mL día 3, OR 3.48 (IC 95% 2.80-3.19 p = 0.035), día 5, OR 6.89 (IC 95% 4.53-6.01 p = 0.022), día 7, OR 4.70 (IC 95% 3.98-5.30 p = 0.031); ultrasonido en mm día 1, OR 4.1 (IC 95% 1.98-3.08 p = 0.028), día 3, OR 5.40 (13.9-41.8 p = 0.002), día 5, OR 2.72 (IC 95% 14.5-65.2 p = 0.000), día 7, OR 3.63 (IC 95% 11.7-13.6 p = 0.042).

Las demás variables perdieron significancia, por lo tanto, se realizó un segundo análisis multivariado con ajuste de variables para corroborar la verdadera asociación, lo que explicó que el modelo R2 89 nuevamente es una correlación fuerte.

Las variables que continuaron con significancia fueron; Godet día 3, OR 4.29 (IC 95% 3.60-4.01 p = 0.007), día 5, OR 5.81 (IC 95% 3.27-4.96 p = 0.012), día 7, OR 2.78 (IC 95% 1.36-2.29 p = 0.040); balance en mL día 1, perdió significancia, día 3,OR 4.80 (IC 95% 2.60-3.54 p = 0.042), día 5, OR 5.79 (IC 95% 4.12-5.41 p = 0.019), día 7, OR 7.88 (IC 95% 5.34-6.17 p = 0.019); ultrasonido en mm día 1, perdió significancia, día 3, OR 3.78 (IC 95% 3.39-4.21 p = 0.005), día 5, OR 7.72 (IC 95% 8.60-9.19 p = 0.010), día 7, OR 5.81 (IC 95% 6.41-7.80 p = 0.009), el resto de las variables perdieron significancia. Lo que significa que el signo de Godet tiene una fuerte asociación clínica (< 80%) comparada con la medición del ultrasonido para edema periférico (Tabla 2).

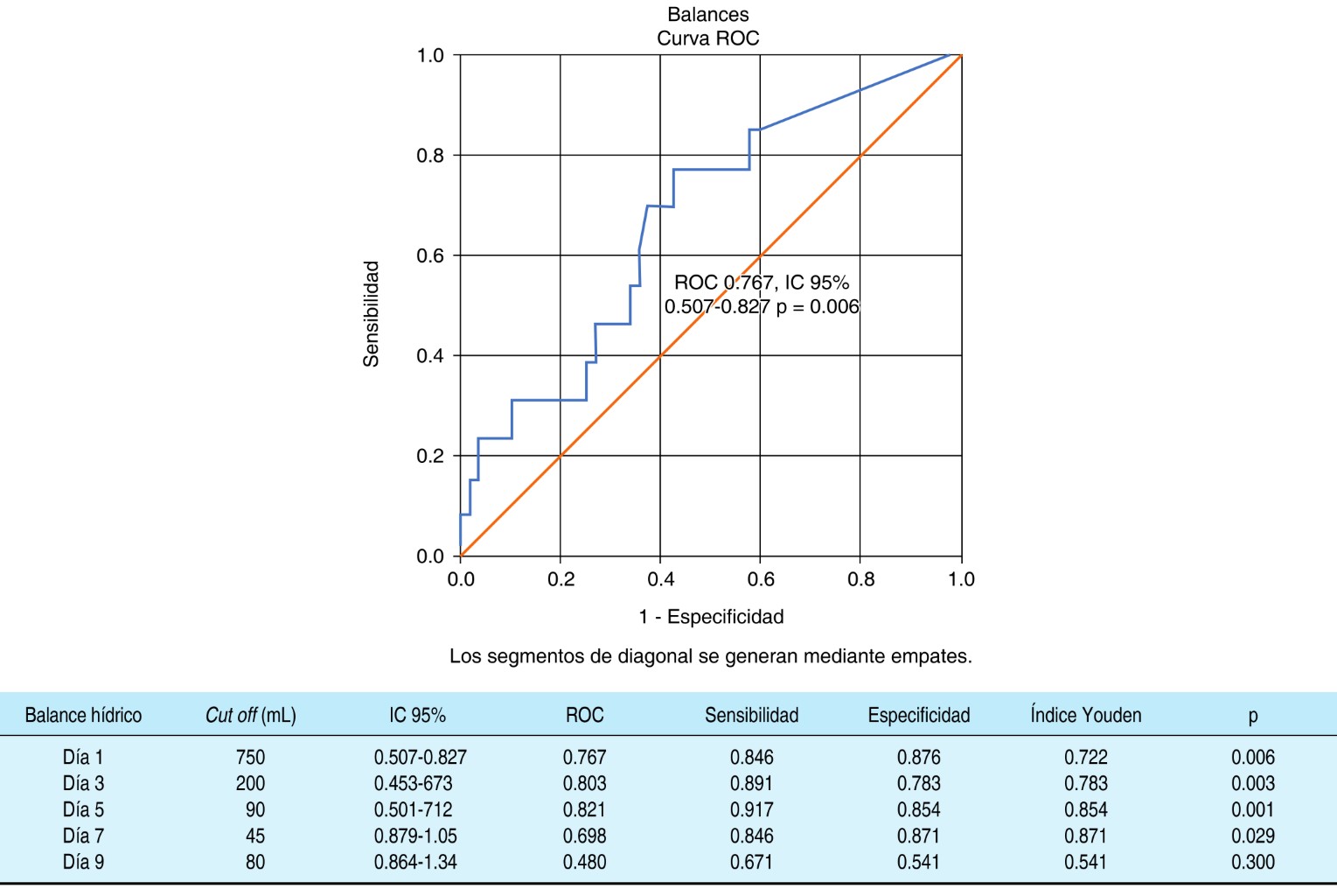
Se realizó una curva ROC para encontrar en la variable balance hídrico acumulado, el punto de corte de acuerdo con el índice de Youden de mayor especificidad y sensibilidad para sobrecarga. Explicado en la Figura 1.

El mejor punto de corte elegido fue en el balance de líquidos de acuerdo al índice de Youden descrito en el pie de Figura 1, observando significancia del día 1 al 7, el día 9 no alcanzó una curva ROC ni una significancia estadística, por lo tanto no se incluyó en el análisis.

Posteriormente se realizó una tercera regresión buscando la asociación entre los mililitros de balance acumulado con los milímetros medidos por ultrasonido para edema periférico, encontrando una R2 o ajustada de 0.82 (82.6%) siendo una asociación fuerte, con un IC 95% 1.47-3.70 y un ómnibus p < 0.0001 (Tabla 3). Lo que explica que en el día 1 por cada 1,008 mL de balance positivo acumulado tiene hasta 3.2 veces más probabilidad de incrementar 0.33 mm de edema periférico medido por ultrasonido; en el día 3 por cada 1,240 mL de balance positivo acumulado tiene dos veces más la probabilidad de incrementar 0.15 mm de edema periférico medido por ultrasonido; en el día 5 por cada 1,950 mL tiene casi ocho veces más probabilidad de incrementar 0.30 mm de edema periférico medido por ultrasonido. Y para el día 7 por cada 848 mL de balance positivo acumulado tiene hasta cuatro veces más probabilidades de incrementar 0.60 mm de edema periférico medido por ultrasonido. Se observó que la mediana de dosis de furosemida inicial fue de 4.8 días (rango 4-8.5).



DISCUSIóN

De acuerdo con el estudio de Jaffe y colaboradores13 se describen los efectos nocivos secundarios de la administración excesiva de líquidos, los cuales tienen como resultado el edema tisular, que conforme al pasar los días son cada vez más visibles. Los autores detectaron una asociación de balance de líquidos positivos a las 72 h, esto, es directamente proporcional a un aumento significativo de la mortalidad. Cabe mencionar que en este estudio no se dio seguimiento a la mortalidad; sin embargo, coincidimos que en el día 3 de medición se obtuvo una alta significancia por la sobrecarga hídrica acumulada.13

En otro estudio, Suehiro K y colaboradores14 observaron que al usar la medición en milímetros de linfedema por ultrasonido en la piel y el tejido subcutáneo se correlacionó con la gravedad, usando una muestra de 32 pacientes. A pesar de su muestra reducida, se encontró una fuerte correlación con el estadio clínico de la Sociedad Internacional de linfología (ISL), concluyendo que la evaluación de la ecogenicidad subcutánea es factible, incluso con ultrasonido de baja resolución.14 Siendo muy similar a los hallazgos obtenidos en este estudio, donde se midió el edema periférico en los primeros días de estancia en los pacientes hospitalizados.

Recientemente Wollborn J y colaboradores15 monitorizaron a 200 pacientes en una unidad de terapia intensiva quirúrgica, los cuales se dividieron en dos grupos, 100 de estos pacientes con síndrome de fuga capilar, y los 100 restantes sin síndrome de fuga capilar.

Definieron el síndrome de fuga capilar como hipovolemia vascular, edema periférico e inestabilidad hemodinámica debido a que no existe actualmente un consenso que establezca tanto criterios como una definición universal.15 El objetivo de su estudio fue desarrollar una herramienta que dio como resultado una puntuación al utilizar siete variables (ecogenicidad, angiopoyetina-2, sindecan-1, ICAM-1, lactato, interleucina-6 y SOFA), obteniéndose un AUC 0.963 con una p < 0.001. Se tomaron mediciones cada dos días, siendo similar a nuestro estudio. Sin embargo, en contraste con el nuestro, usaron un análisis de impedancia, ultrasonido y biomarcadores. Se demostró que el agua extracelular aumentó la ecogenecidad en el tejido subcutáneo en el grupo de fuga capilar alcanzando una mediana de 9.9 versus el grupo que no tenía fuga capilar, cuya mediana fue de 3.7, p < 0.0001.15 Los resultados primarios obtenidos en este estudio fueron: aumento de la mortalidad en el grupo de fuga capilar (12%) en comparación con los que no tenían fuga capilar (1%, p = 0.002).15

Jean-Louis V y colaboradores16 reportaron que un balance de líquidos positivos se asoció con un peor pronóstico. La sobrecarga hídrica caracterizada por un balance positivo se correlacionó de forma independiente con mayor mortalidad con un Hazard Ratio de 1.014 (IC 95%, 1.007-1.022), por cada aumento de mL/kg, p < 0.001 positivo por día.16 Lo anterior concuerda con lo que encontramos en nuestro estudio, donde el primer día por cada 1,008 mL de balance positivo por día incrementó la medición de edema por ultrasonido 0.33 mm.

Contrario a lo que se menciona en los cinco principios hemodinámicos del Dr. Pinsky, "el edema periférico sólo es de importancia cosmética"17 y que no hay relación entre el volumen intravascular y el edema periférico.17 Ahora se evidencia que el edema no sólo es estético, sino que incrementa la mortalidad.



CONCLUSIONES

  • 1. Se encontró una relación directamente proporcional entre la sobrecarga hídrica acumulada por día y el incremento del edema periférico medido por ultrasonido.
  • 2. Se observó una relación directa entre el balance positivo y el desarrollo del edema, siendo este aumento variable en el transcurso de los días, mostrando el primer día que un balance positivo de un litro incrementa 0.33 mm.
  • 3. Un dato de relevancia es que un balance no tan amplio se puede observar con cambios en los tejidos, estas modificaciones iniciales resultan poco perceptibles para el ojo clínico, siendo por el contrario evidenciable por ultrasonido, cobra relevancia el monitoreo temprano de estos pacientes con esta herramienta y su utilidad para poder intervenir de forma oportuna y precisa.

Se puede afirmar por tanto, que en los pacientes críticamente enfermos un resultado persistente de balance de líquidos positivo está fuertemente asociado con el desarrollo de edema periférico; es de suma importancia la medición de éste como parámetro pronóstico. Es destacable el hecho de que el signo de Godet tiene una fuerte asociación con la medición por ultrasonido del edema periférico, no se encontró superioridad de una herramienta tecnológica sobre la evaluación clínica.

El signo de Godet, descrito hace muchos años, sigue siendo superior al ultrasonido en cuanto a disponibilidad, costo y facilidad de acceso. Esto toma importancia, ya que puede utilizarse en unidades donde no se cuente con ultrasonido y así poder correlacionar la cantidad de líquido acumulado en el paciente.


REFERENCIAS (EN ESTE ARTÍCULO)

  1. Weigl W, Adamski J, Onichimowski D, Nowakowski P, Wagner B. Methods of assessing fluid responsiveness in septic shock patients: a narrative review. Anaesthesiol Intensive Ther. 2022;13:46844.

  2. Wang M, Zhu B, Jiang L, Wen Y, Du B, Li W, et al. Dose-response association between fluid overload and in-hospital mortality in critically ill patients: a multicentre, prospective, observational cohort study. BMJ Open. 2020;10(12):e039875.

  3. Salahuddin N, Sammani M, Hamdan A. Fluid overload is an independent risk factor for acute kidney injury in critically Ill patients: results of a cohort study. BMC Nephrol. 2017;18(1):45.

  4. Bouchard J, Soroko S, Chertow G, Himmelfarb J, Ikizler T, Paganini EP, et al. Program to Improve Care in Acute Renal Disease (PICARD) Study Group. Fluid accumulation, survival, and recovery of kidney function in critically ill patients with acute kidney injury. Kidney Int. 2009;76(4):422-427.

  5. Malbrain M, Marik P, Witters I, Cordemans C, Kirkpatrick A, Roberts D, et al. Fluid overload, de-resuscitation, and outcomes in critically ill or injured patients: a systematic review with suggestions for clinical practice. Anaesthesiol Intensive Ther. 2014;46(5):361-380.

  6. Wang T, Pai K, Huang C, Wong L, Wang M, Lai C, et al. A positive fluid balance in the first week was associated with increased long-term mortality in critically ill patients: a retrospective cohort study. Front Med (Lausanne). 2022;9(1):727103.

  7. Messmer A, Zingg C, Müller M, Gerber J, Schefold J, Pfortmueller C. Fluid overload and mortality in adult critical care patients-a systematic review and meta-analysis of observational studies. Crit Care Med. 2020;48(12):1862-1870.

  8. Van N, Metske A, Hofstra J, Binnekade J, Geerts B, Schultz M, et al. Cumulative fluid balance predicts mortality and increases time on mechanical ventilation in ARDS patients: an observational cohort study. PLoS One. 2019;14(10): e0224563.

  9. Cho S, Atwood J. Peripheral edema. Am J Med. 2002;113(7):580-586.

  10. Collins S, Blank R, Deatherage L, Dull R. Special article: the endothelial glycocalyx: emerging concepts in pulmonary edema and acute lung injury. Anesth Analg. 2013;117(3):664-674.

  11. Águila C, Esquivel S, Rodríguez G. Historia y desarrollo del ultrasonido en la imagenología. Acta Med Cent. 2019;13(4):601-615.

  12. Newman P, Rozycki G. The history of ultrasound. Surg Clin North Am. 1998;78(2):179-195.

  13. Jaffee W, Hodgins S, McGee W. Tissue Edema, fluid balance, and patient outcomes in severe sepsis: an organ systems review. Journal of Intensive Care Medicine. 2017;15(1):1-8.

  14. Suehiro K, Morikage N, Murakami M, Yamashita O, Samura M, et al. Significance of ultrasound examination of skin and subcutaneous tissue in secondary lower extremity lymphedema. Ann Vasc Dis. 2013;6(2):180-188.

  15. Wollborn J, Hassanzahl L, Reker D, Staehle F, Marie O, Baar W, et al. Diagnosing capillary leak in critically ill patients: development of an innovative scoring instrument for non-invasive detection. Ann Intensive Care. 2021;11(2):175.

  16. Vincent J, Acheampong A. A positive fluid balance is an independent prognostic factor in patients with sepsis. Crit Care. 2015;19(2):251.

  17. Arguelles P, Torres O. Los 5 principios hemodinámicos del Dr. Pinsky. Acta Colomb Cuid Intensivo. 2020;20(1):45-49.



AFILIACIONES

1 Hospital Ángeles Mocel. Ciudad de México.

2 Hospital Juárez de México. Ciudad de México.

3 Hospital ISEM "Las Américas". Ecatepec de Morelos, Méx.



Conflicto de intereses: no tenemos ningún conflicto de intereses.



CORRESPONDENCIA

Carlos Gabriel Zapata Chan. E-mail: cgabriel.zapatac24@gmail.com




Recibido: 01/09/2022. Aceptado: 25/11/2022.







Figura 1
Tabla 1
Tabla 2
Tabla 3

2020     |     www.medigraphic.com

Mi perfil

C?MO CITAR (Vancouver)

Med Crit. 2022;36

ARTíCULOS SIMILARES

CARGANDO ...