medigraphic.com
ENGLISH

Investigación en Discapacidad

ISSN 2992-779X (Digital)
ISSN 2007-6452 (Impreso)
  • Mostrar índice
  • Números disponibles
  • Información
    • Información general        
    • Directorio
  • Publicar
    • Instrucciones para autores        
  • medigraphic.com
    • Inicio
    • Índice de revistas            
    • Registro / Acceso
  • Mi perfil

2023, Número 2

<< Anterior Siguiente >>

Investigación en Discapacidad 2023; 9 (2)


La competición de videojuegos como desencadenante de ansiedad y sus implicaciones en la activación del músculo masetero

Bueyes-Roiz V, Quiñones-Urióstegui I, Valencia E, León-de AF, Quijano Y, Anaya-Campos LE, Pérez-Orive J
Texto completo Cómo citar este artículo 10.35366/111118

DOI

DOI: 10.35366/111118
URL: https://dx.doi.org/10.35366/111118
Artículos similares

Idioma: Ingles.
Referencias bibliográficas: 32
Paginas: 47-55
Archivo PDF: 228.01 Kb.


PALABRAS CLAVE

ansiedad, bruxismo, electromiografía, diferencias de género, estrés.

RESUMEN

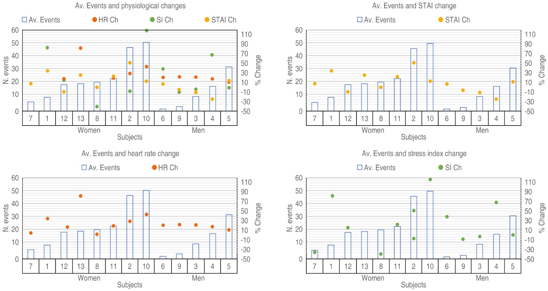
Introducción: el estrés y la ansiedad son reacciones corporales que se relacionan con cambios emocionales, ambas han sido ligadas a problemas temporomandibulares. El desequilibrio en la contracción del músculo masetero puede contribuir a la pérdida de la lordosis cervical. Usualmente, los videojuegos contribuyen al bienestar, sin embargo, existen reportes de ansiedad. Objetivo: determinar si una competencia de videojuegos puede generar cambios emocionales y afectar la activación del músculo masetero. Material y métodos: se reclutaron 13 estudiantes universitarios. A los cuales se les midió la frecuencia cardiaca para calcular su índice de estrés. Asimismo, se midió la activación muscular del músculo masetero de forma bilateral, además contestaron la forma Y1 del State-Trait Anxiety Inventory. Los sujetos fueron colocados aleatoriamente en grupos de cuatro y jugaron Mario Kart en formato competencia. Resultados: se encontró diferencia significativa entre los valores basales y durante la competencia en la frecuencia cardiaca, la cual fue de 83 ± 15 lpm a 102 ± 14 lpm. De la misma manera, existe diferencia significativa al analizar a los sujetos agrupados por género en los valores de ansiedad, en mujeres 46.50 ± 9.38 puntos y en hombres 35.06 ± 5.23 puntos. La activación muscular promedio fue de 65 ± 40%. Conclusión: los resultados muestran que al jugar videojuegos en forma de competencia existe la posibilidad de incrementar la ansiedad en los sujetos, la cual puede provocar una activación en los músculos maseteros por encima de valores normales a morder algo duro, esto puede generar a la larga problemas posturales en la columna cervical.


REFERENCIAS (EN ESTE ARTÍCULO)

  1. Calixtre LB, Leonardo B, Chaves TC, De AB. Is there an association between anxiety/depression and temporomandibular disorders in college students? J Appl Oral Sci. 2014; 22 (1): 15-21.

  2. Pitta NC, Nitsch GS, Machado MB, de Oliveira AS. Activation time analysis and electromyographic fatigue in patients with temporomandibular disorders during clenching. J Electromyogr Kinesiol. 2015; 25 (4): 653-657. doi: 10.1016/j.jelekin.2015.04.010.

  3. Alves AC, Alchieri JC, Barbosa GAS. Bruxism. Masticatory implications and anxiety bruxism. masticatory implications and anxiety. Acta Odontol Latinoam. 2013; 26 (1): 15-22.

  4. Barbosa T de S, Miyakoda LS, Pocztaruk R de L, Rocha CP, Gaviao MBD. Temporomandibular disorders and bruxism in childhood and adolescence: review of the literature. Int J Pediatr Otorhinolaryngol. 2008; 72 (3): 299-314. doi: 10.1016/j.ijporl.2007.11.006.

  5. Goldstein RE, Clark WA. The clinical management of awake bruxism. The J Am Dent Assoc. 2017; 148 (6): 387-391. doi: 10.1016/j.adaj.2017.03.005.

  6. Hidaka O, Yanagi M, Takada K. Mental stress-induced physiological changes in the human masseter muscle. J Dent Res. 2004; 83 (3): 227-231. doi: 10.1177/154405910408300308.

  7. Manfredini D, Lobbezoo F. Relationship between bruxism and temporomandibular disorders: a systematic review of literature from 1998 to 2008. Oral Surg Oral Med Oral Pathol Oral Radiol Endod. 2010; 109 (6): e26-e50. doi: 10.1016/j.tripleo.2010.02.013.

  8. Veiga N, Angelo T, Ribeiro O, Baptista A. Bruxism-literature review. Int J Dent Oral Health. 2015; 1 (5): 5-7.

  9. Trukawka K, Gebska M, Mikolajczyk-Kociecka A, Weber-Nowakowska K, Zyzniewska-Banszak E. Assessment of neck disability index in people with bruxism. Journal of Education, Health and Sport. 2022; 12 (7): 217-227.

  10. Weinberg RS, Hunt VV. The interrelationships between anxiety, motor performance and electromyography. J Mot Behav. 1976; 8 (3): 219-224. doi: 10.1080/00222895.1976.10735075.

  11. Fridlund AJ, Hatfield ME, Cottam GL, Fowler SC. Anxiety and striate-muscle activation. Evidence from electromyographic pattern analysis. J Abnorm Psychol. 1986; 95 (3): 228-236. doi: 10.1037/0021-843X.95.3.228.

  12. Cavallo P, Carpinelli L, Savarese G. Perceived stress and bruxism in university students. BMC Research Notes. 2016; 9 (514): 1-6. doi: 10.1186/s13104-016-2311-0.

  13. Winocur E, Messer T, Eli I, Emodi-perlman A, Kedem R. Awake and sleep bruxism among Israeli adolescents. Front Neurol. 2019; 10: 1-9. doi: 10.3389/fneur.2019.00443.

  14. Ohannessian CMC. Video game play and anxiety during late adolescence: The moderating effects of gender and social context. J Affect Disord. 2018; 226: 216-219. doi: 10.1016/j.jad.2017.10.009.

  15. Inc P. No Title. How to wear a heart rate sensor with a textile strap.

  16. Perrotta AS, Jeklin A, Hives B. Validity of the elite HRV smart phone application for examining heart rate variability in a field based setting. The J Strength Cond Res. 2017; 31 (8): 2296-2302.

  17. Tarvainen MP, Niskanen JP, Lipponen JA, Ranta-aho PO, Karjalainin PA. Kubios HRV - heart rate variability analysis software. Comput Methods Programs Biomed. 2014; 113 (1): 210-220.

  18. Casett E, Réus JC, Stuginski-Barbosa J et al. Validity of different tools to assess sleep bruxism: a meta-analysis. Journal of Oral Rehabilitation. 2017; 44 (9): 722-734. doi: 10.1111/joor.12520.

  19. Sabaneeff A, Caldas LD, Garcia MAC, Nojima M da CG. Proposal of surface electromyography signal acquisition protocols for masseter and temporalis muscles. Res Biomed Eng. 2017; 33 (4): 324-330.

  20. Ferrario VF, Sforza C, Colombo A, Ciusa V. An electromyographic investigation of masticatory muscles symmetry in normo-occlusion subjects. J Oral Rehabil. 2000; 27 (1): 33-40.

  21. Tikkanen O, Haakana P, Pesola AJ et al. Muscle activity and inactivity periods during normal daily life. PLoS ONE. 2013; 8 (1): 1-9.

  22. Yamasaki Y, Kuwatsuru R, Tsukiyama Y, Matsumoto H, Oki K, Koyano K. Objective assessment of actual chewing side by measurement of bilateral masseter muscle electromyography. Arch Oral Biol. 2015; 60 (12): 1756-1762. doi: 10.1016/j.archoralbio.2015.09.010.

  23. Pingitore G, Chrobak V, Petrie J. The social and psychologic factors of bruxism. J Prosthet Dent. 1991; 65 (3): 443-446.

  24. Ahlberg J, Rantala M, Savolainen A et al. Reported bruxism and stress experience. Community Dent Oral Epidemiol. 2002; 30: 405-408.

  25. Reinecke L. Games and recovery: the use of video and computer games to recuperate from stress and strain. Journal of Media Psychology. 2009; 21 (3): 126-142. doi: 10.1027/1864-1105.21.3.126.

  26. Khawaja SN, Iwasaki LR, Nickel J, McCall W, Crow HC, Gonzlez Y. Association of masseter muscle activities during awake and sleep periods with self-reported anxiety, depression, and somatic symptoms. J Dental Health Oral Disord Ther. 2015; 2 (1): 1-17. doi: 10.15406/jdhodt.2015.02.00039.

  27. Lazarus RS, Speisman JC, Mordkoff AM. The relationship between autonomic indicators of psychological stress: heart rate and skin conductance. Psychosomatic medicine. Published online 1963, pp. 19-30.

  28. Martens R, Vealey RS, Burton D. Competitive anxiety in sport. Human Kinetics Books; 1990.

  29. García-Gonzálvez S, López-Plaza D, Abellán-Aynés O. Influence of competition on anxiety and heart rate variability in young tennis players. Healthcare (Switzerland). 2022; 10 (11): 1-9. doi: 10.3390/healthcare10112237.

  30. Espinosa de Santillana IA, García-Juárez A, Rebollo-Vázquez J, Ustarán-Aquino AK. Frequent postural alterations in patients with different types of temporomandibular disorders. Revista de Salud Publica. 2018; 20 (3): 384-389. doi: 10.15446/rsap.v20n3.53529.

  31. Yu JG, Malm C, Thornell LE. Eccentric contractions leading to DOMS do not cause loss of desmin nor fibre necrosis in human muscle. Histochem Cell Biol. 2002; 118 (1): 29-34. doi: 10.1007/s00418-002-0423-1.

  32. Paillard T. Effects of general and local fatigue on postural control: a review. Neurosci Biobehav Rev. 2012; 36 (1): 162-176. doi: 10.1016/j.neubiorev.2011.05.009.




Figura 1
Figura 2
Tabla 1
Tabla 2

2020     |     www.medigraphic.com

Mi perfil

C?MO CITAR (Vancouver)

Investigación en Discapacidad. 2023;9

ARTíCULOS SIMILARES

CARGANDO ...