medigraphic.com
ENGLISH

Acta Médica Grupo Ángeles

Órgano Oficial del Hospital Ángeles Health System
  • Mostrar índice
  • Números disponibles
  • Información
    • Información general        
    • Directorio
  • Publicar
    • Instrucciones para autores        
    • Envío de artículos
    • Políticas
    • Nombre y afiliación del Comité Editorial
  • Nosotros
    • Plan de gestión e intercambio de datos
    • Objetivos declarados y alcance
  • medigraphic.com
    • Inicio
    • Índice de revistas            
    • Registro / Acceso
  • Mi perfil

2024, Número 1

<< Anterior Siguiente >>

Acta Med 2024; 22 (1)


Valoración funcional en pacientes mayores de 80 años postoperados de fractura de cadera con sustitución del calcar y colocación de hemiprótesis de Thompson

Martínez Tapia, Adán G1,2; Ugalde Hernández, Eduardo1; Ramos Texta, Josué1; Domínguez González, Roberto C1
Texto completo Cómo citar este artículo 10.35366/114587

DOI

DOI: 10.35366/114587
URL: https://dx.doi.org/10.35366/114587
Artículos similares

Idioma: Español
Referencias bibliográficas: 18
Paginas: 11-16
Archivo PDF: 187.84 Kb.


PALABRAS CLAVE

fractura de cadera, persona adulta mayor, síndrome de fragilidad, sustitución del calcar, hemiprótesis de Thompson.

RESUMEN

Introducción: el incremento de la edad poblacional está asociado a una mayor incidencia y prevalencia de síndromes geriátricos, dentro de los que destaca el de fragilidad y, por consiguiente, un riesgo aumentado para presentar fractura de cadera. La sustitución del calcar y colocación de hemiprótesis de Thompson (HT) es una conducta terapéutica que ha demostrado ser segura y eficaz. Objetivo: analizar la funcionalidad en pacientes sometidos a una trocanteroplastia con colocación de HT en fracturas de cadera transtrocantéricas. Material y métodos: se realizó un estudio prospectivo, observacional, longitudinal y unicéntrico, donde se comparó la evolución funcional de pacientes sometidos a colocación de HT. Resultados: se reclutaron 27 pacientes que presentaron mejoría del dolor percibido en cada consulta de seguimiento (p = 0.0025) y tendencia a la mejoría en funcionalidad, aunque permaneció el uso de órtesis en todos los casos a los tres meses. Conclusión: la sustitución del calcar y colocación de HT para fractura de cadera transtrocantérica es una opción terapéutica segura y que permite la supervivencia con mejoría en dolor y funcionalidad.



INTRODUCCIóN

En México, la población de adultos mayores de 60 años es de 10.4 millones,1 y se espera que para 2050 esta cifra aumente a 36.4 millones, así como la esperanza de vida a 82 años.2 Se prevé que progresen los síndromes geriátricos, especialmente la fragilidad, promoviendo las fracturas de cadera, afectando la calidad de vida de los pacientes adultos mayores (PAM), especialmente entre los 80-89 años de edad.3,4 A nivel mundial, las fracturas de cadera (FC) afectarán a 18% de las mujeres y a 6% de los hombres, aumentando de 1.26 millones en 1990 a 4.5 millones para el 2050. Los costos asociados son enormes, ya que se requiere un largo periodo de hospitalización y posterior rehabilitación.5 En la mayoría de los pacientes adultos mayores, las FC han afectado gravemente el funcionamiento físico y mental, con un impacto severo en su calidad de vida; la mayoría no vuelven a los niveles de rendimiento previos a la FC.6

Las FC se clasifican según su ubicación: del cuello femoral, transtrocantérica y subtrocantéricas. El abordaje quirúrgico se determina según la ubicación de la fractura y las características del paciente.7 Los costos médicos para el tratamiento representan un impacto en los servicios de salud, con un precio de referencia promedio de $ 45'122,228 USD en México.8 La implementación de estrategias de prevención, especialmente para el riesgo de caída es la más eficiente, así como un manejo oportuno con tratamiento integral con manejo quirúrgico temprano, considerando adecuado control del dolor, especialmente en fracturas inestables del cuello femoral, o el uso de un dispositivo cefalomedular para fracturas transtrocantérica o subtrocantéricas.9 Es indispensable mantener una hemoglobina superior a 8 g/dL en pacientes postoperados,10 una fisioterapia intensiva después del alta, el uso de un programa de atención interdisciplinario en pacientes con demencia moderada y manejo multimodal del dolor.11 El tratamiento no quirúrgico de los pacientes adultos mayores frágiles con FC se asocia con mal pronóstico. Se han reportado tasas de mortalidad después de 30 días, seis meses y un año de 36, 46 y 60%, respectivamente. Así, 33% de los pacientes desarrollaron complicaciones y sólo 9.6% fueron capaces de deambular.12 Las FC transtrocantéricas se clasifican mediante la escala de Tronzo,13 en la cual los subtipos IIIB-V suelen ser manejadas de forma quirúrgica mediante fijación interna con colocación de sistema de tornillo dinámico de cadera y placa lateral, o bien, mediante enclavado intramedular con sus respectivas potenciales complicaciones.14 Para documentar el estado clínico del paciente postoperado de FC se emplea la escala funcional Harris Hip Score (HHS), que ha sido validada por considerar la relación entre la evolución del dolor postquirúrgico y la función en el proceso de rehabilitación.15,16

Las FC transtrocantéricas en los pacientes adultos mayores se asocian a una alta mortalidad, siendo de 7.1% a los 30 días y de 28.1% al año, por lo que intervenir quirúrgicamente ha demostrado beneficios por ser segura, paliativa y rentable.17,18 Dentro de estas intervenciones está la colocación de la hemiprótesis de Thompson (HT), siendo rápida, simple y paliativa para la movilización temprana. La pertinencia de realizar este estudio recae en conocer y tener la mejor evidencia de cuál es la recuperación funcional tras la colocación de HT en un hospital público de la Ciudad de México (Figura 1).



MATERIAL Y MéTODOS

Se realizó un estudio prospectivo, observacional, longitudinal y unicéntrico, donde se reclutaron a pacientes mayores de 80 años de edad o más que fueron atendidos en el Hospital Regional "Gral. Ignacio Zaragoza" del Instituto de Seguridad y Servicios Sociales de los Trabajadores del Estado (ISSSTE) en el periodo de enero de 2019 a diciembre de 2020. Tras previa explicación y firma de consentimiento informado por parte del paciente o un familiar legalmente responsable, y bajo la normatividad del Comité de Ética local, se incluyó a pacientes diagnosticados con FC transtrocantérica clasificaciones Tronzo IIIB-V, a los cuales se les realizó sustitución del calcar mediante el uso de injerto óseo autólogo con cerclaje a trocánter menor para conseguir el apoyo necesario para la colocación de una hemiprótesis de Thompson. Posteriormente, los pacientes fueron evaluados clínicamente en consulta externa, con base en la escala HHS (Tabla 1), siendo aplicada a los 15 días, un mes y tres meses. Se excluyó a los pacientes que no acudieron a todas sus citas de seguimiento.

Se realizó un análisis estadístico, descriptivo con gráficas de barras de los datos obtenidos; para el análisis se utilizaron frecuencias y proporciones para las variables categóricas, media y desviación estándar. Para el análisis de la relación entre variables se utilizó la prueba de ANOVA de una cola con el software Prism 9 para macOS. Se consideró una diferencia estadísticamente significativa una alfa de 0.05.



RESULTADOS

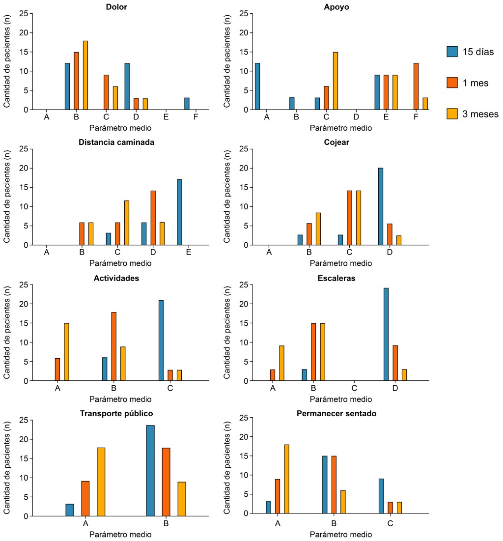
Se reclutó un total de 27 pacientes, de los cuales 55.56% (n = 15) fueron mujeres y 44.44% (n = 12) hombres, con edad media de 87.22 años (rango de 85 a 93 años y desviación estándar de 2.57-2.25). Al evaluar los parámetros de la HHS (Figura 2) se encontró que el dolor tuvo una diferencia significativa, siendo percibido de manera menor con cada revisión subsecuente a lo largo del tiempo (p = 0.0025), considerando que la severidad más frecuente a lo largo de las subsecuencias fue el dolor moderado o tolerable. Respecto a los requerimientos de apoyo y de órtesis por los pacientes no hubo diferencias significativas, destacando que a los 15 días 44.44% (n = 12) acudieron sin ningún tipo de órtesis o apoyo adicional; sin embargo, para los tres meses todos los pacientes utilizaron algún tipo de material de apoyo y 11.11% (n = 3) acudieron con dos muletas o sin la posibilidad de caminar (p = 0.2667). En cuanto a distancia caminada, se encontró que 66.67% (n = 18) sólo pudo trasladarse de la cama a la silla, pero con el paso del tiempo todos presentaron una tendencia o la mejoraron, sin un solo paciente que presentara inmovilidad absoluta a los tres meses (p = 0.5376). Respecto a cojear, se observa que ninguno de los casos reportó ausencia de este parámetro; sin embargo, a los tres meses la mayoría de los pacientes, 55.56% (n = 15) refieren hacerlo con una intensidad moderada (p = 0.308). En cuanto a la realización de actividades autónomas de la vida cotidiana, como colocarse calcetines y zapatos, se aprecia una dificultad considerable a los 15 días, que mejoró importantemente a los tres meses, aunque no de forma significativa (p = 0.8920). Al medir la funcionalidad para subir y bajar las escaleras, se encontró que a los 15 días 88.89% (n = 24) fueron incapaces de realizar esta tarea; sin embargo, a los tres meses sólo 11.11% (n = 3) se mantuvo con esta desfavorable condición (p = 0.2868). Para poder utilizar el transporte público, en la primera visita de seguimiento 88.89% (n = 24) se refirió como incapaz de utilizarlo, pero para los tres meses de seguimiento 66.67% (n = 18) mejoró esta condición, pudiendo usarlo (p = 0.5063). Respecto a la facilidad para permanecer sentados, se observó que a los tres meses 66.67% (n = 18) de los pacientes refiere percibir de manera cómoda una silla y permanecer sentados de forma ordinaria durante una hora (p = 0.5057).

En cuanto a la goniometría, se evaluaron los arcos de movilidad de la articulación postoperada, encontrando que los grados totales de flexión presentan tendencia a la mejoría (p = 0.3311), presentando 77.78% (n = 21) una amplitud de 90-100° y 22.22% (n = 6) de 100-110° (Figura 3). Se presentó una supervivencia de 100% en los pacientes a los tres meses de postoperados.



DISCUSIóN

La FC representa un compromiso considerable de dolor, funcionalidad, autonomía y calidad de vida de los pacientes adultos mayores. Los tratamientos para FC deben incluir intervenciones tempranas multidisciplinarias que incluyan actividad física, intervenciones que enfaticen la actividad física a largo plazo, por lo que la disminución pronta del dolor y la recuperación temprana de la movilidad son fundamentales para mejorar la morbimortalidad;14 lo cual se ha demostrado en el presente estudio. En función del dolor percibido, como de las diferentes actividades que ilustran la autonomía y la funcionalidad global, el uso de la HHS, que ha demostrado ser una escala ideal para la valoración de FC y diferentes abordajes quirúrgicos,15 se reafirma en este estudio por permitir documentar ampliamente una gran variedad de aspectos de la vida de los pacientes de manera integral. Anteriormente se han comparado otras escalas de calidad de vida, como la Evaluación Numérica de Medición Única (SANE, por sus siglas en inglés) en relación con la HHS, reportando una fuerte correlación con el Puntaje de Resultado de Cadera (HOS, por sus siglas en inglés), actividades de la vida diaria medidas por SANE y deporte en el preoperatorio y en el postoperatorio a corto plazo,16 apoyando aún más la validez de este instrumento. La erosión acetabular sintomática es la complicación mejor conocida a largo plazo, que se ha demostrado está presente después del seguimiento de pacientes activos,18 por lo que utilizar este abordaje en pacientes geriátricos con poca actividad física de alto impacto representa una oportunidad. De la misma forma que la serie de 1,445 casos de Manoharan,17 el presente estudio reportó a la colocación de hemiprótesis de Thompson como una intervención segura, paliativa y rentable. La principal limitación de este estudio es el tamaño de muestra; sin embargo, se debe considerar que este número representa un esfuerzo institucional de carácter público, donde los pacientes han sido beneficiados a partir de la accesibilidad que se ofrece con la mejor calidad y calidez disponible.



CONCLUSIONES

El manejo quirúrgico inmediato de un paciente adulto mayor que presenta FC transtrocantérica sigue siendo un reto clínico y socioeconómico, siendo la sustitución del calcar y colocación de hemiprótesis de Thompson una opción terapéutica segura y que permite la supervivencia con una mejoría significativa en el dolor y una tendencia a la mejoría respecto a la funcionalidad para mantener la calidad de vida. Se necesita de más investigación para poder determinar la superioridad de otras técnicas quirúrgicas; sin embargo, es necesaria la generación de políticas públicas orientadas a esta población que, por su vulnerabilidad, necesitan atención especial y cálida, con enfoque en la prevención.


REFERENCIAS (EN ESTE ARTÍCULO)

  1. Instituto Nacional de Estadística y Censos. Porcentaje de población de 60 y más años. México: INEGI; 2019. Disponible en: https://www.inegi.org.mx/app/buscador/default.html?q=poblacion+mayo+de+60+años#tabMCcollapse-Indicadores

  2. Voeten SC, Krijnen P, Voeten DM, Hegeman JH, Wouters MWJM, Schipper IB. Quality indicators for hip fracture care, a systematic review. Osteoporos Int. 2018; 29 (9): 1963-1985. doi: 10.1007/s00198-018-4558-x.

  3. Rommens PM, Hofmann A. Focus on fragility fractures of the pelvis. Eur J Trauma Emerg Surg. 2021; 47 (1): 1-2. doi: 10.1007/s00068-020-01550-7.

  4. Wang P, Li Y, Zhuang H, Yu H, Cai S, Xu H et al. Influence of bone densitometry on the anti-osteoporosis treatment after fragility hip fracture. Aging Clin Exp Res. 2019; 31 (10): 1525-1529. doi: 10.1007/s40520-018-1094-7.

  5. Veronese N, Maggi S. Epidemiology and social costs of hip fracture. Injury. 2018; 49 (8): 1458-1460. doi: 10.1016/j.injury.2018.04.015.

  6. Alexiou KI, Roushias A, Varitimidis SE, Malizos KN. Quality of life and psychological consequences in elderly patients after a hip fracture: a review. Clin Interv Aging. 2018; 13: 143-150. doi: 10.2147/CIA.S150067.

  7. Bhandari M, Swiontkowski M. Management of acute hip fracture. N Engl J Med. 2017; 377 (21): 2053-2062. doi: 10.1056/NEJMcp1611090.

  8. Pech-Ciau BA, Lima-Martínez EA, Espinosa-Cruz GA, Pacho-Aguilar CR, Huchim-Lara O, Alejos-Gómez RA. Fractura de cadera en el adulto mayor: epidemiología y costos de la atención. Acta Ortop Mex. 2021; 35 (4): 341-347.

  9. Quevedo I, Ormeño JC, Weissglas B, Opazo C. Epidemiology and direct medical cost of osteoporotic hip fracture in Chile. J Osteoporos. 2020; 2020: 5360467. doi: 10.1155/2020/5360467.

  10. Sedlock J, Green J, Diegel-Vacek L. Need and rationale for geriatric fracture programs. Orthop Nurs. 2020; 39 (3): 162-164. doi: 10.1097/NOR.0000000000000662.

  11. Neuman MD, Feng R, Carson JL, Gaskins LJ, Dillane D, Sessler DI et al. Spinal anesthesia or general anesthesia for hip surgery in older adults. N Engl J Med. 2021; 385 (22): 2025-2035. doi: 10.1056/NEJMoa2113514.

  12. Loggers SAI, van Lieshout EMM, Joosse P, Verhofstad MHJ, Willems HC. Prognosis of nonoperative treatment in elderly patients with a hip fracture: A systematic review and meta-analysis. Injury. 2020; 51 (11): 2407-2413. doi: 10.1016/j.injury.2020.08.027.

  13. Behrendt C, Faleiro TB, Schulz Rda S, Silva BO, Paula Filho EQ. Repruducibility of Tronzo and ao/asif classifications for transtrochanteric fractures. Acta Ortop Bras. 2014; 22 (5): 275-277. doi: 10.1590/1413-78522014220500884.

  14. Magaziner J, Chiles N, Orwig D. Recovery after hip fracture: interventions and their timing to address deficits and desired outcomes--evidence from the Baltimore hip studies. Nestle Nutr Inst Workshop Ser. 2015; 83: 71-81. doi: 10.1159/000382064.

  15. Hersnaes PN, Gromov K, Otte KS, Gebuhr PH, Troelsen A. Harris hip score and SF-36 following metal-on-metal total hip arthroplasty and hip resurfacing - a randomized controlled trial with 5-years follow up including 75 patients. BMC Musculoskelet Disord. 2021; 22 (1): 781. doi: 10.1186/s12891-021-04671-1.

  16. Lau BC, Scribani M, Lassiter T, Wittstein J. Correlation of single assessment numerical evaluation score for sport and activities of daily living to modified Harris hip score and hip outcome score in patients undergoing arthroscopic hip surgery. Am J Sports Med. 2019; 47 (11): 2646-2650. doi: 10.1177/0363546519863411.

  17. Manoharan G, Morley D, Chatterton BD, Moores TS, Roberts PJ. Uncemented Thompson's hemiarthroplasty: safe, palliative and cost-effective surgery in the infirm patient-a consecutive series of 1445 cases [published correction appears in Eur J Orthop Surg Traumatol. 2020 Apr;30(3):553]. Eur J Orthop Surg Traumatol. 2018; 28 (6): 1103-1109. doi: 10.1007/s00590-018-2144-8.

  18. Matar HE, Donnelly T, Farrar G. Long-term outcomes of thompson's hip hemiarthroplasties: literature review. J Long Term Eff Med Implants. 2017; 27 (1): 67-69. doi: 10.1615/JLongTermEffMedImplants.2018020251.



AFILIACIONES

1 Servicio de Traumatología y Ortopedia, Hospital Regional "General Ignacio Zaragoza", ISSSTE. Ciudad de México, México.

2 Facultad Mexicana de Medicina, Universidad La Salle. Ciudad de México, México.



Financiamiento: los autores declaran no haber recibido financiamiento.

Conflicto de intereses: los autores declaran no tener conflicto de intereses.



CORRESPONDENCIA

Dr. Adán G Martínez Tapia. Correo electrónico: adan308192@gmail.com




Aceptado: 25-04-2023.

Figura 1
Figura 2
Figura 3
Tabla 1

2020     |     www.medigraphic.com

Mi perfil

C?MO CITAR (Vancouver)

Acta Med. 2024;22

ARTíCULOS SIMILARES

CARGANDO ...