medigraphic.com
ENGLISH

Medicina Crítica

  • Mostrar índice
  • Números disponibles
  • Información
    • Información general        
    • Directorio
  • Publicar
    • Instrucciones para autores        
  • Políticas
  • Lineamientos
  • medigraphic.com
    • Inicio
    • Índice de revistas            
    • Registro / Acceso
  • Mi perfil

2023, Número 8

<< Anterior Siguiente >>

Med Crit 2023; 37 (8)


Estandarización de la PaO2 para la PaCO2 en la relación PaO2/FiO2 como predictor de mortalidad en pacientes con posición prono y COVID-19 severo

Márquez Torres, Claudia Berenice1; Gómez González, Natalia1; Guerrero Topete, Hugo Eduardo1; Jiménez Correa, Carlos1; Rodríguez Cázares, Carlos Eduardo1; Moreno Romero, Gabriel1
Texto completo Cómo citar este artículo 10.35366/115224

DOI

DOI: 10.35366/115224
URL: https://dx.doi.org/10.35366/115224
Artículos similares

Idioma: Español
Referencias bibliográficas: 19
Paginas: 666-671
Archivo PDF: 220.60 Kb.


PALABRAS CLAVE

COVID-19, síndrome de distrés respiratorio agudo, presión arterial de oxígeno, mortalidad, paciente crítico.

RESUMEN

Introducción: en 2019, se dio a conocer de manera universal el síndrome respiratorio agudo severo (SARS-CoV-2) causado por el coronavirus (COVID-19), el cual puede manifestarse desde formas asintomáticas hasta estadios clínicos caracterizados por insuficiencia respiratoria aguda, neumonía, choque séptico e insuficiencia multiorgánica, los cuales precisan requerimientos de ventilación mecánica. Los marcadores de predicción de mortalidad son útiles para priorizar a los pacientes con mayor riesgo, lo que mejora la atención de estos enfermos. Objetivo: evaluar la estandarización de la PaO2 para la PaCO2 en la relación PaO2/FiO2 como predictor de mortalidad hospitalaria en pacientes pronados bajo ventilación mecánica invasiva con insuficiencia respiratoria aguda por COVID-19. Material y métodos: cohorte observacional, retrospectiva, analítica de pacientes que ingresaron al Servicio de la Unidad de Cuidados Intensivos en el periodo de abril a septiembre de 2020. Se incluyeron aquellos con infección por SARS-CoV-2 confirmada por laboratorio; presencia de consolidación y/u opacidades en vidrio esmerilado en la radiografía de tórax y/o en la tomografía computarizada pulmonar y presencia de insuficiencia respiratoria aguda, que requirieran ventilación mecánica invasiva. Se consideró que había insuficiencia respiratoria aguda cuando la PaO2 era < 60 mmHg con FiO2 = 21%. Se excluyeron aquellos en quienes no se contó con los registros de la gasometría arterial antes y después de colocados en posición prono. Se registraron datos demográficos, clínicos y gasométricos para obtener el valor de la PaO2 estandarizada para la PaCO2 (STPaO2), así como la mortalidad y días de ventilación mecánica en la unidad. Resultados: se analizaron un total de 74 pacientes, con edad promedio de 53.50 ± 12.77 años, con predominio de hombres (63%). La mayoría de los pacientes se ubicó en los grupos de obesidad leve y moderada de acuerdo con su índice de masa corporal (IMC) 31 ± 4.71 kg/m2. Respecto a los parámetros gasométricos antes de la posición prona, se registró una PaO2 de 81.94 ± 29.11 y PaCO2 de 44.62 ± 10.51 versus 97.37 ± 44.50 mmHg y 40.45 ± 8.51 mmHg, respectivamente, después de colocados en la posición. La STPaO2 reportada previa a la posición prono fue de 89.62 ± 39.77 versus 98.11 ± 45.02 posterior al prono. La mortalidad en esta cohorte fue de 44.6%. Luego, se distribuyó a la población en dos grupos (sobrevivientes versus no sobrevivientes); en ninguno de los parámetros gasométricos se encontró diferencia significativa entre ambos grupos. Después de la colocación de los pacientes en posición prono y de la toma del control de gasometría arterial, sólo para la FiO2 y la relación SpO2/FiO2 se encontró una diferencia significativa entre los sobrevivientes y no sobrevivientes (p = 0.03 para ambas variables). En el análisis ROC, la FiO2 obtuvo un AUC de 0.644 (IC95% 0.517-772) con un valor de p = 0.034 para predecir mortalidad y la SpO2/FiO2 un AUC de 0.647 (IC95% 0.520-0.775) con p = 0.03 para predecir supervivencia, en el periodo postprono; la STPaO2 no obtuvo AUC con valores de p < 0.05 ni antes ni después del cambio de posición para discriminar mortalidad. Conclusión: si bien los resultados en este estudio no favorecen la estandarización de la PaO2 para la PaCO2 en la relación PaO2/FiO2, si se sugiere el uso de la FiO2 y la relación SpO2/FiO2 como predictores de mortalidad, específicamente en aquellos pacientes que desarrollaron insuficiencia respiratoria bajo ventilación mecánica invasiva por COVID-19.



ABREVIATURAS:

  • AUC = área bajo la curva (Area Under the Curve).
  • COVID-19 = enfermedad por coronavirus de 2019.
  • FiO2 = fracción de oxígeno inspirado.
  • IC95% = intervalo de confianza de 95%.
  • IMC = índice de masa corporal.
  • P/F = PaO2/FiO2
  • PaO2 = presión arterial de oxígeno.
  • ROC = característica operativa del receptor (Receiver Operating Characteristic).
  • SARS-CoV-2 = severe acute respiratory syndrome coronavirus 2 (síndrome respiratorio agudo grave coronavirus 2).
  • SDRA = síndrome de insuficiencia respiratoria aguda.
  • STPaO2 = PaO2 estandarizada.
  • UCI = Unidad de Cuidados Intensivos.



INTRODUCCIóN

A partir de los últimos meses de 2019 el mundo padeció una pandemia ocasionada por el coronavirus más ampliamente propagado, el coronavirus 2 del síndrome respiratorio agudo severo (SARS-CoV-2), causante de la enfermedad por coronavirus (COVID-19).1-3 La alta transmisibilidad y patogenicidad del virus se observó desde el comienzo de la pandemia, lo cual fue constante en todo el mundo.4,5

A nivel mundial, se tenían reportados 760'279,195 casos confirmados y 6'873,208 defunciones por COVID-19 al 14 de marzo de 2023.6 Mientras que, en México, a la misma fecha, eran 7'511,746 los casos confirmados y 333,333 las defunciones.7

La COVID-19, dentro de su amplio espectro clínico, se manifiesta desde formas asintomáticas o poco sintomáticas hasta estadios clínicos caracterizados por insuficiencia respiratoria aguda, neumonía, choque séptico e insuficiencia multiorgánica, los cuales requieren de ventilación mecánica.8-10

Se ostentan cifras de hasta 33% de pacientes hospitalizados con manifestaciones de síndrome de insuficiencia respiratoria aguda (SDRA) en la COVID-19.11

En unidades de cuidados intensivos, se emplea la relación PaO2/FiO2 como un coeficiente, índice, que mide la gravedad del SDRA según la definición de Berlín.12 Actualmente, en el contexto de la COVID-19, éste ha demostrado su utilidad en la predicción de eventos adversos.13

Asimismo, la deficiencia en la estandarización en el monitoreo puede dar lugar a un subdiagnóstico o una clasificación errónea de la gravedad del SDRA, ya que existe una relación no lineal entre la fracción de oxígeno inspirado (FiO2) y la presión arterial de oxígeno (PaO2); por lo tanto, la FiO2 aplicada puede influir en la relación PaO2/FiO2 (P/F) en el momento del diagnóstico. Además de eso, utilizar únicamente la gasometría arterial como pauta para el diagnóstico de SDRA, la cual puede realizarse durante momentos de inestabilidad transitoria (por ejemplo, secuela del mal manejo de secreciones que provocan obstrucción mucosa), puede conducir a un sobrediagnóstico de la patología, a una clasificación errónea o sobreestimación de la gravedad del SDRA.14-16

En concreto se explica la necesidad de estandarización en la medición de la relación P/F, para lo cual, una opción es la propuesta por Mays, quien sugirió que la estimación de la gravedad del desajuste entre ventilación y perfusión se puede optimizar estandarizando la PaO2 para la PaCO2 a través de la siguiente fórmula:17-19

PaO2 estandarizada (STPaO2) = 1.661PaCO2 + PaO2 - 66.4

El objetivo de este estudio fue evaluar la estandarización de la PaO2 para la PaCO2 en la relación P/F como predictor de mortalidad hospitalaria en pacientes con posición prono e insuficiencia respiratoria aguda debido a COVID-19.



MATERIAL Y MéTODOS

El presente estudio es una cohorte observacional, retrospectiva, analítica con pacientes que ingresaron al Servicio de Unidad de Cuidados Intensivos del Hospital de Especialidades del Centro Médico Nacional del Bajío del estado de Guanajuato del Instituto Mexicano del Seguro Social, unidad médica de tercer nivel de atención, en el periodo de abril a septiembre de 2020.

Los criterios de inclusión fueron: diagnóstico de infección por SARS-CoV-2 confirmada por laboratorio (resultado positivo mediante reacción en cadena de la polimerasa [PCR] en tiempo real de hisopos nasales o faríngeos, o aspirados del tracto respiratorio inferior); presencia de consolidación y/u opacidades en vidrio esmerilado en la radiografía de tórax y/o en la tomografía computarizada pulmonar y presencia de insuficiencia respiratoria aguda (se consideró que había insuficiencia respiratoria aguda cuando la PaO2 era < 60 mmHg con FiO2 = 21%) que requiriera ventilación mecánica invasiva y fueran colocados en posición prono como parte de su tratamiento.

Se excluyeron aquellos casos con necesidad de intubación endotraqueal y ventilación mecánica invasiva antes del ingreso a la Unidad de Cuidados Intensivos (UCI) y antecedente de insuficiencia respiratoria crónica. Se eliminaron los enfermos que fallecieron antes de completar el seguimiento (después de la posición prono).

Para cada paciente del estudio se recabó historia clínica, datos de gasometría arterial (PaO2, PaCO2, pH, HCO3, FiO2) al ingreso hospitalario y al momento del ingreso a la UCI, apoyo respiratorio recibido durante la estancia hospitalaria y fecha de defunción o recuperación de insuficiencia respiratoria. Después del ingreso de los pacientes incluidos a la UCI, se le colocó a toda la población una línea arterial y se obtuvo la gasometría arterial para obtener los parámetros requeridos (antes de colocarlos en posición prono), el control gasométrico se tomó dentro de las primeras tres horas después de que el paciente se colocó en posición prono.

La PaO2 se estandarizó para PaCO2 usando la fórmula:16

PaO2 estandarizada (STPaO2) = 1.661PaCO2 + PaO2 - 66.4.

Se calcularon P/F, STPaO2 para cada sujeto. Para STP/F y P/F, se utilizaron los datos de las gasometrías arteriales del primer día de ingreso en la UCI con el sujeto de estudio que había inspirado oxígeno a una FiO2 fija durante al menos 10 minutos.

El control gasométrico se realizó después de colocar al paciente en posición prono, realizando la misma fórmula que en la primera toma.

Tamaño de la muestra. Se tomó el total del universo de estudio, derivado del número de pacientes que cumplieron los criterios de inclusión, muestreo no probabilístico por conveniencia.

Análisis estadístico. Los datos se describieron mediante el uso de proporciones y porcentajes para las variables cualitativas; mientras para las variables cuantitativas se utilizaron media y desviación estándar (para las variables en las que se demostró normalidad y homocedasticidad), o mediana y rango intercuartílico (para las variables en las que no fue posible demostrar normalidad). La verificación de la normalidad se realizó mediante la prueba de Kolmogórov-Smirnov.

La comparación de variables cuantitativas continuas entre grupos se efectuó mediante la prueba de t de Student, y para aquellas cualitativas se utilizó χ2. Para definir la precisión del ajuste de la fórmula y su predicción sobre la mortalidad se aplicó el análisis de ROC, utilizando el punto del índice de Youden.

El análisis estadístico se realizó con el paquete estadístico SPSS versión 27, considerando como significativo los valores de p < 0.05.

Aspectos éticos. Este trabajo fue realizado con la aprobación de los comités de ética e investigación institucional con número de registro R-2023-1001-120. El presente estudio se considera sin riesgo de acuerdo con el Reglamento de la Ley General de Salud en materia de investigación.



RESULTADOS

Se analizó un total de 74 pacientes que cumplieron con los criterios de inclusión. La descripción de la población de estudio se detalla en la Tabla 1. La edad media registrada fue de 53.55 ± 12.77 años. Hubo predominio de hombres (63%). El promedio de peso corporal fue 84.89 ± 15.79 kg y el de la talla 1.65 ± 0.09 m. La media de índice de masa corporal (IMC) fue 31 ± 4.71 kg/m2, lo que situó a los pacientes entre los grupos de obesidad leve y moderada. La comorbilidad más frecuente fue diabetes mellitus tipo 2 (DM2) (33.8%).

Respecto a los parámetros gasométricos antes de la posición prona, se registró una PaO2 de 81.94 ± 29.11 y PaCO2 de 44.62 ± 10.51 versus 97.37 ± 44.50 mmHg y 40.45 ± 8.51 mmHg, respectivamente, después de colocados en la posición. Sin embargo, la STPaO2 reportada previa a la posición fue de 89.62 ± 39.77 frente a 98.11 ± 45.02 posterior al prono. La mortalidad en esta cohorte fue de 44.6%.

Luego, se distribuyó a la población en dos grupos (sobrevivientes versus no sobrevivientes) (Tabla 2). La edad promedio fue 51.20 ± 13.76 años para el grupo de sobrevivientes y 56.36 ± 10.95 años para los no sobrevivientes sin diferencia significativa (p = 0.084). En las variables sexo, morbilidades y demográficos (peso, talla e IMC) tampoco se encontraron diferencias significativas; aun así, cabe señalar que la presencia de diabetes mellitus tipo 2 fue mayor en el grupo de no sobrevivientes. Sin embargo, el promedio de días de ventilación mecánica fue menor 9.12 ± 4.92 en el grupo de no sobrevivientes respecto al de los sobrevivientes 11.90 ± 5 (p = 0.02).

Referente a los parámetros gasométricos obtenidos antes de la posición prono, aunque en el grupo de los sobrevivientes tanto la PaO2, la relación SpO2/FiO2 y la STPaO2 fue ligeramente mayor en el grupo de no sobrevivientes, no se encontró diferencia significativa entre ambos grupos.

Posterior a la colocación de los pacientes en posición prono y de la toma del control de gasometría arterial, en las variables PaO2, PaCO2, SpO2, no hubo diferencia significativa. Para la FiO2 se reportó una media de 0.65 ± 0.18 en el grupo de no sobrevivientes y de 0.56 ± 0.16 para los sobrevivientes (p = 0.03), siendo menor el requerimiento en la fracción inspirada de oxígeno en los sobrevivientes. La relación SpO2/FiO2 fue de 130.88 ± 49.88 para los no sobrevivientes versus 156.13 ± 45.92 en los sobrevivientes (p = 0.03). Para la variable de estudio STPaO2 no se encontró diferencia entre ambos grupos.

Luego se realizó un análisis de ROC para las variables obtenidas de la gasometría arterial, tanto antes de la posición prono como después (controles), para evaluar la capacidad discriminativa de las variables para mortalidad.

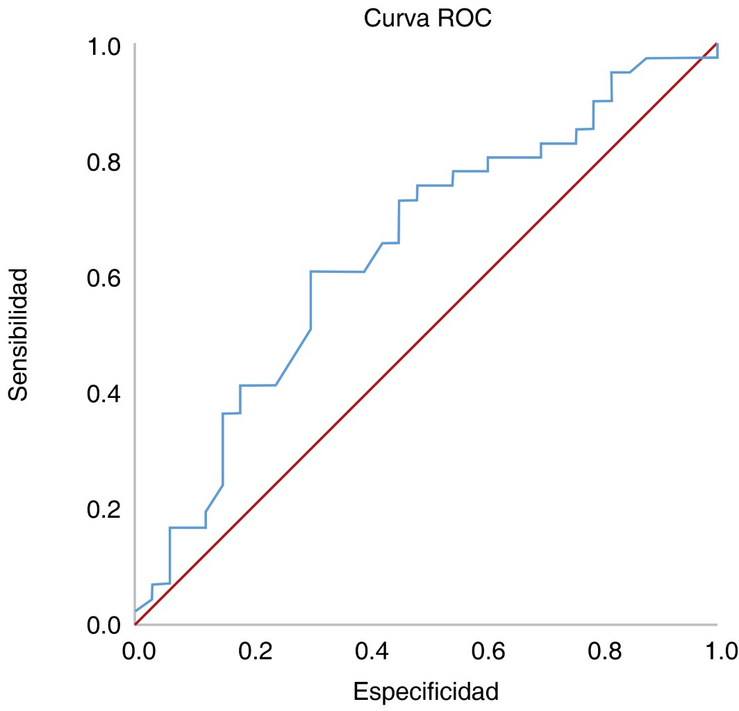
En el periodo preprono, sólo la STPaO2 presentó un AUC de 0.577 (IC95% 0.446-0.708); sin embargo, el valor de p fue de 0.258 y en el periodo postprono la STPaO2 mostró un AUC 0.500 (IC 995% 0.360-0.639) p = 0.89. Por otro lado, en el periodo postprono, la FiO2 obtuvo un AUC de 0.644 (IC95% 0.517-772) p = 0.034 (Figura 1) y la SpO2/FiO2 un AUC de 0.647 (IC95% 0.520-0.775) con un valor de p = 0.03 (Figura 2).



DISCUSIóN

Durante la pandemia secundaria al SARS-CoV-2, enfermedad viral, el síndrome de dificultad respiratoria aguda, caracterizado por la aparición aguda de infiltrados bilaterales, hipoxemia grave y presencia de edema pulmonar sin causa cardiaca ni sobrecarga de líquidos,5 la relación PaO2/FiO2 (P/F) ≤ 200 condicionó mortalidad.1

Es importante destacar que las herramientas de predicción de mortalidad son fundamentales en el área de medicina crítica,18 especialmente en el contexto de la pandemia de COVID-19 y la insuficiencia respiratoria asociada, puesto que se tiene un impacto en la toma de decisiones informadas y eficientes al momento de la asignación de recursos médicos en un contexto de limitación para ayudar a priorizar la atención de pacientes con mayor riesgo de mortalidad, lo que a su vez mejora la atención médica y permite un adecuado seguimiento de los pacientes.19

La cohorte presentada en este estudio tiene como ventaja que al comparar sus características demográficas como edad (p = 0.084), peso (p = 0.95), talla (p = 0.76) e IMC (p = 0.95) no se encontraron diferencias significativas, por lo que los grupos fueron homogéneos; y aunque la mayoría de los pacientes incluidos fueron varones, tampoco hubo diferencia (p = 0.08).

Previo a la posición prono, aunque la PaO2 (84.38 ± 29.91 mmHg) en los sobrevivientes fue mayor que en los no sobrevivientes (79.99 ± 28.66 mmHg), la diferencia encontrada no fue significativa (p = 0.52); lo mismo para la variable SpO2/FiO2 cuyo valor en los sobrevivientes (99.50 ± 22) fue mayor que para los no sobrevivientes (98.72 ± 28.46), p = 0.89. No así, en el control gasométrico (o periodo postprono) donde sí se registraron diferencias significativas tanto en la variable FiO2 como para la SpO2/FiO2 entre los dos grupos; siendo la fracción de FiO2 menor (p = 0.03) y la relación SpO2/FiO2 mayor (p = 0.03) en el grupo de sobrevivientes respecto al de los no sobrevivientes.

Estandarizar los parámetros como lo es la SpO2/FiO2 implica la evaluación de los pacientes de manera consistente. Esto podría ayudar en la identificación temprana de pacientes en riesgo de complicaciones graves o muerte.17 Sin embargo, los resultados de este estudio no favorecen la superioridad de esta variable con respecto a la medición de PaO2 obtenida de forma rutinaria en la gasometría arterial, ya que a pesar de los valores obtenidos de STPaO2 en periodo preprono (94.64 ± 34.67) y postprono (101.68 ± 56.74) en el grupo de sobrevivientes, no se encontró diferencia significativa al compararlo con el de los no sobrevivientes: p = 0.25 antes del prono y p = 0.64 posterior a la posición prono.

El análisis ROC tampoco favoreció en este estudio a la estandarización de la PaO2 respecto al CO2, obteniendo valores de AUC limítrofes con p > 0.05. Aun así, es importante tener en cuenta que la insuficiencia respiratoria severa es una condición compleja y multifactorial. Además de la gasometría, otros factores como la causa subyacente de la insuficiencia respiratoria, la edad del paciente y las comorbilidades también pueden influir en la mortalidad. Por lo tanto, la estandarización de parámetros de gasometría debe ser parte de una evaluación más completa y no el único factor predictivo.17

Dentro de las limitaciones del estudio consideramos el tipo de muestreo no probabilístico, lo que afecta su capacidad de inferencia estadística a otras poblaciones; así como el de adolecer del seguimiento (días de estancia en la UCI y en hospitalización) para obtener los resultados de un análisis de supervivencia.



CONCLUSIONES

Si bien los resultados en este estudio no favorecen la estandarización de la PaO2 para la PaCO2 en la relación PaO2/FiO2, si se sugiere el uso de la FiO2 y la relación SpO2/FiO2 como predictores de mortalidad, específicamente en aquellos pacientes que desarrollaron insuficiencia respiratoria bajo ventilación mecánica invasiva por COVID-19.

Es necesario crear modelos de predicción que tomen en cuenta diversos factores o variables implicados en el pronóstico de estos pacientes.


REFERENCIAS (EN ESTE ARTÍCULO)

  1. Kumar S, Tao Q, Weaver S, Sanderford M, Caraballo-Ortiz MA, Sharma S, et al. An evolutionary portrait of the progenitor SARS-CoV-2 and its dominant offshoots in COVID-19 pandemic. Mol Biol Evol. 2021;38(8):3046-3059.

  2. Li J, Lai S, Gao GF, Shi W. The emergence, genomic diversity and global spread of SARS-CoV-2. Nature. 2021;600(7889):408-418.

  3. Hao YJ, Wang YL, Wang MY, Zhou L, Shi JY, Cao JM, et al. The origins of COVID-19 pandemic: a brief overview. Transbound Emerg Dis. 2022;69(6):3181-3197.

  4. Hu B, Guo H, Zhou P, Shi ZL. Characteristics of SARS-CoV-2 and COVID-19. Nat Rev Microbiol. 2021;19(3):141-154.

  5. Davis JT, Chinazzi M, Perra N, Mu K, Pastore Y, Piontti A, et al. Cryptic transmission of SARS-CoV-2 and the first COVID-19 wave. Nature. 2021;600(7887):127-132.

  6. OMS. Panel de control de la enfermedad por coronavirus de la OMS (COVID-19) [Internet]. Ginebra: Organización Mundial de la Salud; 2023 [acceso 14/marzo/2023]. Disponible en: https://covid19.who.int/

  7. Gobierno de México, COVID-19 México [Internet]. México: 2023 [acceso 14/marzo/2023]. Disponible en: https://datos.covid-19.conacyt.mx/#COMNac

  8. Mizumoto K, Kagaya K, Zarebski A, Chowell G. Estimating the asymptomatic proportion of coronavirus disease 2019 (COVID-19) cases on board the Diamond Princess cruise ship, Yokohama, Japan, 2020. Euro Surveill. 2020;25(10):2000180.

  9. Li J, Huang DQ, Zou B, Yang H, Hui WZ, Rui F, et al. Epidemiology of COVID-19: A systematic review and meta-analysis of clinical characteristics, risk factors, and outcomes. J Med Virol. 2021;93(3):1449-1458.

  10. Cascella M, Rajnik M, Aleem A, et al. Features, evaluation, and treatment of coronavirus (COVID-19) [Updated 2023 Aug 18]. In: StatPearls [Internet]. Treasure Island (FL): StatPearls Publishing; 2023. Available in: https://www.ncbi.nlm.nih.gov/books/NBK554776/

  11. Tzotzos SJ, Fischer B, Fischer H, Zeitlinger M. Incidence of ARDS and outcomes in hospitalized patients with COVID-19: a global literature survey. Crit Care. 2020;24(1):516.

  12. Force ADT, Ranieri VM, Rubenfeld GD, Thompson BT, Ferguson N, Caldwell E, et al. Acute respiratory distress syndrome. JAMA. 2012;307:2526-2533.

  13. Sartini S, Massobrio L, Cutuli O, Campodonico P, Bernini C, Sartini M, et al. Role of SatO2, PaO2/FiO2 ratio and PaO2 to predict adverse outcome in COVID-19: a retrospective, cohort study. Int J Environ Res Public Health. 2021;18(21):11534.

  14. Karbing DS, Kjaergaard S, Smith BW, Espersen K, Allerod C, Andreassen S, et al. Variation in the PaO2/FiO2 ratio with FiO2: mathematical and experimental description, and clinical relevance. Crit Care. 2007;11(6):R118.

  15. Villar J, Schultz MJ, Kacmarek RM. The LUNG SAFE: a biased presentation of the prevalence of ARDS! Crit Care. 2016;20(1):108.

  16. Mays EE. An arterial blood gas diagram for clinical use. Chest. 1973;63(5):793-800.

  17. Peniche Moguel KG, Sánchez Díaz JS, Castañeda Valladares E, Calyeca Sánchez MV, Díaz Gutiérrez SP, Pin Gutiérrez E. Ventilación mecánica en decúbito prono: estrategia ventilatoria temprana y prolongada en SIRA severo por influenza. Med Crít (Col Mex Med Crít). 2017;31(4):198-204.

  18. Accini Mendoza JL, Nieto Estrada VH, Beltrán López N, Ramos Bolaños E, Molano Franco D, Dueñas Castell C, et al. Actualización de la declaración de consenso en medicina crítica para la atención multidisciplinaria del paciente con sospecha o confirmación diagnóstica de COVID-19. Acta Colomb Cuid Intensivo. 2020;20(S1):1-112.

  19. Camargo Rubio RD. Triaje en la pandemia COVID-19: un abordaje con perspectiva de derechos humanos. Acta Colomb Cuid Intensivo. 2022;22(3):182-190.



AFILIACIONES

1 Unidad Médica de Alta Especialidad, Hospital de Especialidades No. 1 del Centro Médico Nacional del Bajío, Instituto Mexicano del Seguro Social. León, Guanajuato, México.



Patrocinio: los autores declaran no haber recibido apoyo de ningún patrocinador o recursos fuera de los otorgados por la institución médica.

Conflicto de intereses: los autores declaran no tener ningún conflicto de intereses.



CORRESPONDENCIA

Ma. Natalia Gómez González. E-mail: nataliag1881@gmail.com




Recibido: 15/09/2023. Aceptado: 08/10/2023.







Figura 1
Figura 2
Tabla 1
Tabla 2

2020     |     www.medigraphic.com

Mi perfil

C?MO CITAR (Vancouver)

Med Crit. 2023;37

ARTíCULOS SIMILARES

CARGANDO ...