medigraphic.com
ENGLISH

Cirugía Plástica

ISSN 2992-8559 (Digital)
ISSN 1405-0625 (Impreso)
  • Mostrar índice
  • Números disponibles
  • Información
    • Información general        
    • Directorio
  • Publicar
    • Instrucciones para autores        
    • Envío de artículos
  • Políticas
    • Políticas éticas
    • Políticas de acceso abierto
    • Políticas de revisión de manuscritos
    • Políticas editoriales generales
  • medigraphic.com
    • Inicio
    • Índice de revistas            
    • Registro / Acceso
  • Mi perfil

2024, Número 3

<< Anterior Siguiente >>

Cir Plast 2024; 34 (3)


Asociación de la supervivencia y la mortalidad con aspectos demográficos en pacientes gran quemados en un centro de referencia de quemaduras de México 2022-2023: Un estudio retrospectivo de cohorte

Rendón-Mejía, Norman Alejandro1,2; Cuervo-Ollervides, Luisa Fernanda1,2; Flores-González, Natanael1,2; Hernández-Terrazas, Carlos Alberto1,3
Texto completo Cómo citar este artículo 10.35366/118350

DOI

DOI: 10.35366/118350
URL: https://dx.doi.org/10.35366/118350
Artículos similares

Idioma: Español
Referencias bibliográficas: 10
Paginas: 93-98
Archivo PDF: 961.07 Kb.


PALABRAS CLAVE

quemados, cirugía plástica, supervivencia, mortalidad, cuidados intensivos.

RESUMEN

Introducción: los pacientes con quemaduras siguen siendo uno de los problemas de salud pública más importantes en México y ocupan el puesto 13 en las causas de mortalidad anual. Las quemaduras provocan morbilidades importantes, como infección, síndrome de respuesta inflamatoria sistémica, sepsis, insuficiencia orgánica. Objetivo: identificar a la población más afectada y el tipo de quemadura con más morbilidad y mortalidad tomando en cuenta al paciente gran quemado. Material y métodos: se llevó a cabo un estudio observacional de cohorte de tipo retrospectivo de la población ingresada en la Unidad de Quemados del Hospital General de Chihuahua "Salvador Zubirán Anchondo", en el periodo del 1 de enero de 2022 al 31 de diciembre de 2023. Se estimó la mortalidad acumulada de manera global y la sobrevida por medio del método de Kaplan-Meier. Se realizó un modelo multivariado con correlación de Cox para evaluar la asociación de la mortalidad y la velocidad en la que ésta aparece posterior a la quemadura. Resultados: se analizaron un total de 208 pacientes que ingresaron a la Unidad de Quemados: 162 hombres (77.9%) y 46 mujeres (22.1%). La media de superficie corporal total quemada fue 21.3%, con rango de 1 a 99%; el agente causal más frecuente fue el fuego directo, con 140 pacientes (67.3%). El grado de profundidad de quemadura de mayor incidencia fue de segundo grado, con 113 ingresos (54.6%). Se calculó una mortalidad del 12.5% (26/208), con una estancia promedio de 16.8 días (0-119). Conclusión: existe una asociación de la profundidad de la quemadura, edad, el porcentaje de superficie quemada y el número de comorbilidades al ingreso de pacientes en nuestra unidad de quemados.



INTRODUCCIóN

El paciente con quemaduras sigue siendo uno de los problemas de salud pública más importantes en nuestro país, ocupando el puesto 13 en las causas de mortalidad según los informes del Instituto Nacional de Estadística, Geografía e Informática. La Organización Mundial de la Salud estima que alrededor de 180,000 personas mueren cada año debido a quemaduras en todo el mundo.1,2

Las quemaduras son lesiones en la piel y en los órganos que pueden resultar en una amenaza importante si no se tratan adecuadamente.3 Se clasifican en varios tipos: escaldadura, fuego, contacto, exposición a sustancias químicas, quemaduras eléctricas y lesiones por radiación.3,4 Las quemaduras eléctricas son completamente diferentes porque pueden causar un daño en los tejidos profundos, mayor que la lesión cutánea visible.5 Las quemaduras provocan morbilidades importantes como infección, síndrome de respuesta inflamatoria sistémica, sepsis, insuficiencia orgánica, lesión renal aguda, síndrome de dificultad respiratoria aguda y afección pulmonar por lesión por inhalación que requiere ventilación mecánica.3 Los principales factores predictivos de morbilidad y mortalidad por quemaduras incluyen la edad y la superficie corporal total de las quemaduras.

La población más afectada por esta situación es el sector de bajos recursos de la sociedad. Esta patología conlleva múltiples cambios a la calidad de vida del paciente, así como un pronóstico que empeora según la extensión y las comorbilidades del sujeto comprometido. Además, hay un aumento en los costos debido a los requisitos de estancia intrahospitalaria prolongada en la mayoría de los pacientes. La mortalidad no es el único problema al que nos enfrentamos al hablar de esta patología. Las quemaduras no mortales afectan en gran medida el desenvolvimiento del paciente tras su recuperación, estigmatizando su convivencia, lo que provoca rechazo o limitaciones funcionales que disminuyen su calidad de vida.2

Este trabajo tiene como objetivo evaluar la mortalidad en la Unidad de Quemados del Hospital General de Chihuahua "Salvador Zubirán Anchondo", identificar a la población más afectada y el tipo de quemadura con más morbilidad y mortalidad, tomando en cuenta al paciente gran quemado.



MATERIAL Y MéTODOS

Llevamos a cabo un estudio observacional de cohorte retrospectivo, tomando los datos del expediente clínico integral de pacientes ingresados en la Unidad de Quemados del Hospital General de Chihuahua "Salvador Zubirán Anchondo", en el periodo del 1 de enero de 2022 al 31 de diciembre de 2023. La muestra poblacional fue por conveniencia. El estudio fue aprobado por el comité de ética e investigación del hospital. Incluyó a pacientes con las siguientes características: gran quemado con más del 20% de superficie corporal total quemada; quemaduras eléctricas sin importar su porcentaje, con más del 10% de quemaduras en pacientes pediátricos y geriátricos; hombres y mujeres con un rango de edad de 0 a 90 años, además de pacientes provenientes de las distintas unidades médicas del estado de Chihuahua con diagnóstico de quemaduras de primero, segundo y tercer grado. Se utilizó la metodología presentada por Ramírez-Blanco y colaboradores, en la cual se estableció buscar la relación de variables demográficas como sexo, edad, agente causal, profundidad y superficie corporal total de la quemadura,6 así como existencia de alguna comorbilidad presente al ingreso, como diabetes mellitus tipo II, hipertensión arterial sistémica, abuso de sustancias, o alteración del estado neurológico.

Análisis estadístico. Las diferencias se establecieron mediante la prueba de estadística de t de Student para variables independientes; se asumió una p < 0.05 como estadísticamente significativa y se desarrolló un modelo univariable por medio de regresión lineal. Se estimó la mortalidad acumulada y su intervalo de confianza de 95% (IC95%) de manera global y para el resto de las variables y la función de sobrevida por medio del método de Kaplan-Meier. Se realizó un modelo multivariado con correlación de Cox para evaluar la asociación de la mortalidad y la velocidad en la que aparece posterior a la quemadura, representado en riesgo relativo (RR). Los datos se analizaron por medio del programa IBM SPSS Statistics 29.0.2.0.



RESULTADOS

Analizamos un total de 208 pacientes que ingresaron a la Unidad de Quemados del Hospital General de Chihuahua "Salvador Zubirán Anchondo", de los cuales 162 (77.9%) eran hombres y 46 (22.1%) mujeres. El paciente más joven ingresado tenía 0 años y el más longevo 83, con una media de 30.2 años (Tabla 1). El grupo de edad preponderante dentro del estudio fueron los menores de 10 años (23.1%), seguido del grupo de 19 a 26 años (15.4%). La media de superficie corporal total (SCT) quemada fue 21.3% (rango: 1 a 99%). El agente causal de lesión más frecuente en los pacientes ingresados fue el fuego directo con 140 (67.3%) pacientes, la escaldadura con 36 (16.8%) casos, por electricidad en 30 (13.9%), químicas en un paciente (0.5%) y una por pirotecnia (0.5%). El grado de profundidad de quemadura que más se presentó fue de primer grado, con 113 (54.3%) casos, seguido de quemaduras de segundo grado con 85 (40.9%) pacientes, y quemaduras de tercer grado con ocho ingresos (3.8%). Se calculó una mortalidad de 12.5% (26/208), con una estancia promedio de 16.8 días (0-119).

El análisis estadístico para muestras independientes tuvo una diferencia estadística entre el grupo de sobrevivientes y fallecidos con relación a la SCT (p ≤ 0.001, IC95% 22.1-35.5); además se encontró diferencias entre el grado de profundidad de la quemadura (p ≤ 0.001, IC95% 0.314-0.766), y también diferencias significativas en las variables del número de comorbilidades (p ≤ 0.001, IC95% 0.351-1.01), así como en la edad (p ≤ 0.001, IC95% 7.3-24.7) y los días de estancia hospitalaria (p ≤ 0.016, IC95% –16.8 a –1.7). No se encontraron diferencias significativas en los grupos de sobrevivientes y fallecidos en relación con el agente causal de la quemadura y el sexo.

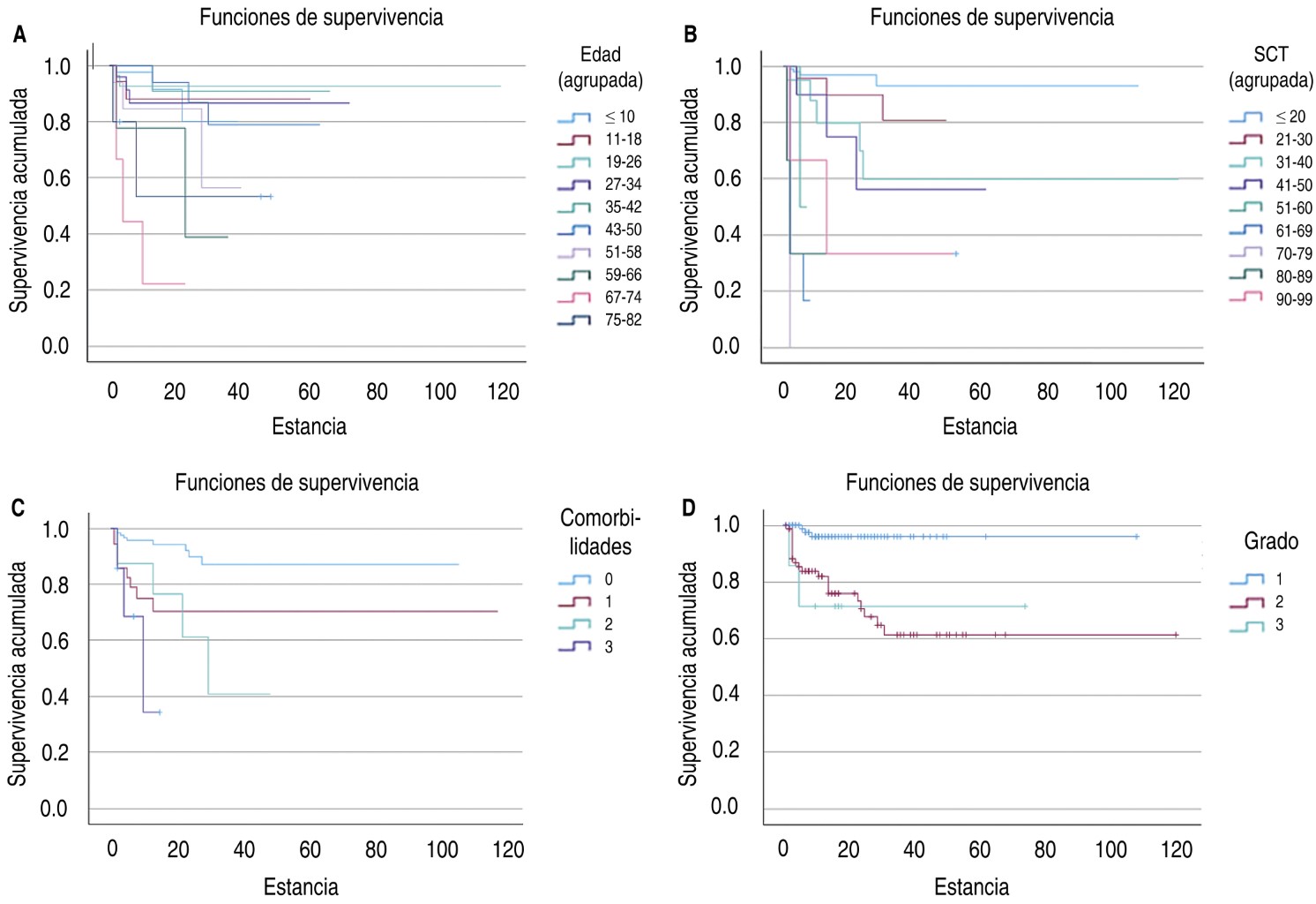
En el modelo de regresión lineal univariado se obtuvo una asociación significativamente estadística entre los pacientes fallecidos y la SCT (p ≤ 0.001), la edad (p = 0.001), grado y profundidad de la quemadura (p ≤ 0.001) y el número de comorbilidades al ingreso del paciente quemado (p ≤ 0.001). En el análisis de supervivencia por medio de la regresión de Cox y método de Kaplan-Meier se encontraron diferencias estadísticamente significativas (p ≤ 0.001) entre la supervivencia en los distintos grupos de SCT, siendo los pacientes con < 20% con mejor pronóstico (100.8, IC95% 94.1-107.6) (Tabla 2). El grupo de edad con menor sobrevida fue el de pacientes con 70-79% de SCT quemada (2.0, IC95% 2.0-2.0). En el análisis de supervivencia por grupos de edad se encontraron diferencias significativas entre grupos (p ≤ 0.001), siendo el grupo de 67 a 74 años con el peor desenlace (8.8, IC95% 1.7-16.0) y el grupo con mejor pronóstico fue el de 19 a 26 años (110.4, IC95% 99.0-121.8). Hubo diferencias significativas en la relación de supervivencia y grado de profundidad de la quemadura (p = 0.001), siendo las quemaduras de tercer grado las que tuvieron menor supervivencia (52.8, IC95% 29.2-76.4) y en el análisis de la relación del número de comorbilidades y la supervivencia hubo una diferencia estadísticamente significativa (p ≤ 0.001), con el grupo de más de tres comorbilidades 9.5, IC95% 5.3-13.7) (Figura 1). No hubo diferencias significativas en la supervivencia en relación con el sexo y el agente causal de la quemadura.



DISCUSIóN

En nuestro proyecto de investigación buscamos la relación de distintas variables demográficas con la supervivencia y la mortalidad, así como de la asociación de las variables con el fallecimiento de los pacientes ingresados en nuestra unidad de quemados. Encontramos que la mortalidad hospitalaria del paciente quemado fue del 12.5%; en el estudio de Ramírez-Blanco y colaboradores,6 encontraron una mortalidad de 1.5%, donde registraron que existió diferencia significativa entre la profundidad y la extensión de la quemadura. En el estudio de Juárez Guzmán y Sánchez Zúñiga,7 la mortalidad fue del 21.2%; en nuestro estudio obtuvimos una menor mortalidad (12.5%) en comparación con lo reportado por Villegas y sociados,8 que observaron una mortalidad global de 37%. En el estudio de Curiel-Balsera y colegas,9 se reportó una mortalidad en la Unidad de Cuidados Intensivos (UCI) de 42.3%. Con respecto a la prevalencia de los ingresos en nuestra unidad de quemados, encontramos que hubo mayor prevalencia en el sexo masculino; esto concuerda con los resultados de otros estudios demográficos, como el de Maldonado y colaboradores, Juárez Guzmán y Sánchez Zúñiga y asociados, y Villegas et al.2-5

En cuanto a la media de SCT, obtuvimos un porcentaje mayor en comparación al estudio de Ramírez-Blanco y su grupo,6 quienes obtuvieron una media de 7% de SCT en los pacientes ingresados; sin embargo, en el estudio por Maldonado y asociados,10 la media de la SCT fue 35%. Por grupos de edad, se presentó una mayor mortalidad y riesgo de complicaciones a corto plazo en pacientes menores de 10 años; en el estudio de Ramírez-Blanco y colegas, se reporta el 65.9% de las quemaduras por líquidos calientes y el 65.2% de las quemaduras por contacto se presentaron en el grupo de edad de 0 a 10 años.

Los días de estancia hospitalaria en nuestro estudio tuvo una media de 16.8 días y en pacientes que fallecieron fue de 14 días, teniendo un valor mayor al notificado por Juárez Guzmán y Sánchez Zúñiga y colaboradores, quienes obtuvieron una media de 10.64 días. Nosotros obtuvimos una estancia hospitalaria mayor en pacientes fallecidos en comparación con Ramírez-Blanco y asociados que registraron una estancia de 3.5 días.6,7

En nuestro estudio demostramos una asociación de la SCT, el grado y profundidad de la quemadura, la edad y el número de comorbilidades con la supervivencia de los pacientes quemados; a diferencia de otros estudios donde se encontró una diferencia significativa entre la edad del paciente y el grado de profundidad de la quemadura. En otro estudio, encontraron en su análisis una significancia para la edad, la superficie corporal total quemada y el síndrome inhalatorio; y en el estudio de Curiel-Balsera y colegas se demostró que las variables asociadas de manera independiente con mayor riesgo de muerte fue una SCT de 35% y la aparición de lesión renal aguda.6,8



CONCLUSIONES

Podemos concluir que existe una asociación de la profundidad de la quemadura, edad, el porcentaje de superficie quemada y el número de comorbilidades al ingreso en pacientes hospitalizados en nuestra unidad de quemados. Es importante tener en consideración estas variables, ya que son factores de riesgo que están muy ligados con la mortalidad hospitalaria. En el momento de ingresar a pacientes con quemaduras, es necesario implementar un tratamiento de hidratación basado en metas e iniciar un tratamiento quirúrgico en aquellos que lo ameriten, para mejorar el pronóstico durante su estancia hospitalaria.


REFERENCIAS (EN ESTE ARTÍCULO)

  1. Smolle C, Cambiaso-Daniel J, Forbes AA, Wurzer P, Hundeshagen G, Branski LK et al. Recent trends in burn epidemiology worldwide: a systematic review. Burns. 2017; 43 (2): 249-257. doi: 10.1016/j.burns.2016.08.013.

  2. De Estadística Y, I. N. (s. f.-b). Mortalidad. https://www.inegi.org.mx/ programas/mortalidad

  3. Ellison DL. Burns. Crit Care Nurs Clin North Am. 2013; 25 (2):273-285. doi: 10.1016/j.ccell.2013.02.003.

  4. Hermans MHE. An Introduction to burn care. Adv Skin Wound Care. 2019; 32 (1): 9-18. doi: 10.1097/01.ASW.0000549612.44844.75.

  5. Lee RC. Injury by electrical forces: pathophysiology, manifestations, and therapy. Curr Prob Surg. 1997; 34 (9): 677-764. doi: 10.1016/S0011-3840(97)80007-X.

  6. Ramírez-Blanco CE, Ramírez-Rivero CE, Díaz-Martínez LA. Causas y sobrevida en pacientes quemados en el centro de referencia del nororiente de Colombia. Cir Plast Iberolatinoam. 2017; 43 (1): 59-67.

  7. Juárez-Guzmán U, Sánchez-Zúñiga M. Asociación entre índice neutrófilo/linfocito como biomarcador de mortalidad en pacientes con quemaduras mayores durante el periodo del 01 de febrero de 2020 al 28 de enero de 2022. Med crít (Col Mex Med Crít). 2023; 37 (1): 17-20.

  8. Villegas CJ, Torres EE, Pedreros PC, Singh OP, Longton BC, Carlos Said J et al. Mortalidad tras un año de protocolización en el manejo del paciente quemado. Rev Chil Cir. 2010; 62 (2): 144-149.

  9. Curiel-Balsera E, Prieto-Palomino MA, Fernández-Jiménez S, Fernández-Ortega JF, Mora-Ordoñez J, Delgado-Amaya M. Epidemiología, manejo inicial y análisis de morbimortalidad del gran quemado. Med Int. 2006; 30 (8): 363-639.

  10. Maldonado AA, Küntscher M, Sillero A. Análisis de parámetros bioquímicos en grandes quemados: nuevos factores pronósticos. De la investigación básica a la clínica. Cir Plast Iberolatinoam. 2012; 38 (4): 305-312.



AFILIACIONES

1 Hospital General de Chihuahua "Salvador Zubirán Anchondo". Chihuahua, Chihuahua, México.

2 Médico residente de Cirugía General.

3 Jefe del Departamento de Cirugía de la Unidad de Quemados.



Conflicto de intereses: los autores declaran no tener conflicto de intereses.

Financiamiento: el presente estudio no recibió financiamiento.



CORRESPONDENCIA

Dr. Norman Alejandro Rendón-Mejía. E-mail: norman-rendon@hotmail.com




Recibido: 30 mayo 2024. Aceptado: 05 agosto 2024.

Figura 1
Tabla 1
Tabla 2

2020     |     www.medigraphic.com

Mi perfil

C?MO CITAR (Vancouver)

Cir Plast. 2024;34

ARTíCULOS SIMILARES

CARGANDO ...