medigraphic.com
ENGLISH

Revista Mexicana de Pediatría

ISSN 0035-0052 (Impreso)
  • Mostrar índice
  • Números disponibles
  • Información
    • Información general        
    • Directorio
  • Publicar
    • Instrucciones para autores        
    • Envío de artículos
  • medigraphic.com
    • Inicio
    • Índice de revistas            
    • Registro / Acceso
  • Mi perfil

2025, Número 2

<< Anterior Siguiente >>

Rev Mex Pediatr 2025; 92 (2)


Manejo de hemorragia pulmonar con eptacog alfa, ácido aminocaproico o ácido tranexámico en neonatos bajo cuidados intensivos

Solís-Sánchez, Katy Abigail1; Miranda-Madrazo, María Raquel2; Rendón-Macías, Mario Enrique3; Villa-Bahena, Saúl4; Ramírez-Silva, Horacio5; Díaz-Caneja Arenas, Regina4
Texto completo Cómo citar este artículo 10.35366/121149

DOI

DOI: 10.35366/121149
URL: https://dx.doi.org/10.35366/121149
Artículos similares

Idioma: Español
Referencias bibliográficas: 12
Paginas: 52-57
Archivo PDF: 304.99 Kb.


PALABRAS CLAVE

hemorragia pulmonar, recién nacido, supervivencia, transfusión sanguínea.

RESUMEN

La hemorragia pulmonar (HP) en recién nacidos (RN) es una complicación grave que puede causar la muerte. Objetivo: analizar el efecto del tratamiento con antihemorrágicos (ácido tranexámico [AT], eptacog alfa [EA] o ácido aminocaproico [AA]) en RN con HP, atendidos en una Unidad de Cuidados Intensivos Neonatales. Material y métodos: estudio de una cohorte retrospectiva de 43 neonatos con HP atendidos entre los años 2020 y 2024. Todos recibieron alguno de los tres fármacos (solos o en combinación), además del tratamiento convencional. El éxito del tratamiento se evaluó con la supervivencia, control del sangrado, requerimiento de hemocomponentes y en la recuperación de niveles de hemoglobina y plaquetas. Resultados: se evaluaron 43 RN, 86% pretérmino. En 35 (81%) pacientes se administró un sólo fármaco (AT: n = 8, EA: n = 19, AA: n = 8) y en ocho (18.6%) dos fármacos. Fallecieron nueve pacientes, por lo que la supervivencia fue del 79%. Posterior al inicio de los fármacos, en todos se redujo el requerimiento de transfusiones, pero al final del seguimiento ocho (18.6%) pacientes tenían anemia y cinco (11.6%) trombocitopenia. No hubo diferencia por tipo de fármaco Conclusión: al parecer, el uso de fármacos antihemorrágicos en RN con HP tiene un efecto benéfico; sin embargo, se requiere de más investigación para determinar su eficacia y seguridad, particularmente para conocer las diferencias entre EA, AT o AA.



ABREVIATURAS:

  • AA = ácido aminocaproico
  • AT = ácido tranexámico
  • EA = eptacog alfa
  • HP = hemorragia pulmonar
  • HPR = hemorragia pulmonar refractaria
  • RN = recién nacidos
  • TC = tratamiento convencional
  • UCIN = unidad de cuidados intensivos neonatales



INTRODUCCIóN

La hemorragia pulmonar (HP) es una complicación que en recién nacidos (RN) tiene una incidencia de 1-12 por 1,000 nacidos vivos, pero en los casos graves, la mortalidad llega a ser de 30-60%. Esta condición se manifiesta como deterioro súbito cardio-respiratorio, en la cual se incrementan los requerimientos de oxígeno y necesidad de soporte ventilatorio. Lo anterior, en conjunto con la identificación de sangrado espontáneo en tráquea o tubo endotraqueal, asociado a disminución del hematocrito y alteraciones radiológicas, deben hacer sospechar el diagnóstico.1

El manejo habitual de los pacientes con HP consiste en mantener la vía aérea permeable, con adecuada saturación de oxígeno, administración de vitamina K y transfusión de hemocomponentes,2 y en algunas ocasiones se utiliza epinefrina intratraqueal.3 Pero en los pacientes que presentan HP importante y de difícil control se ha sugerido el uso de medicamentos antihemorrágicos, dentro de los que se incluyen a eptacog alfa (EA) que es el factor de coagulación VIIa,4,5 el ácido tranexámico (AT) que es un antifibrinolítico,6 así como el ácido aminocaproico (AA), análogo del aminoácido lisina, que ayuda a controlar la hemostasia cuando existe fibrinólisis.7 Estos tres fármacos han mostrado su utilidad en algunos escenarios clínicos en neonatos.

La presente investigación analiza el efecto del tratamiento con AT, EA y AA en RN con HP refractaria (HPR) sobre el control del sangrado, la reducción de transfusiones sanguíneas y la supervivencia.



MATERIAL Y MéTODOS

El diseño del estudio corresponde a una cohorte retrospectiva de 43 neonatos con HPR atendidos en la Unidad de Cuidados Intensivos Neonatales (UCIN) del Hospital Español -hospital privado-, en el periodo de enero del 2020 a mayo del 2024.

Los criterios de inclusión fueron: RN a término o pretérmino al momento de iniciar el tratamiento con AT, EA o AA, con diagnóstico de HP de acuerdo con los siguientes criterios: 1. Evidencia clínica de deterioro cardio-respiratorio (frecuencia cardiaca < 100 o > 140 × min, taquipnea o apnea; hipotensión arterial), súbito incremento del requerimiento de oxígeno (> 10% FiO2) o de soporte ventilatorio, hemorragia espontánea en tráquea (salida de sangre por vía aérea o en aspiración del tubo endotraqueal). 2. Descenso súbito de la Hb y hematocrito (< 6 g/dL + < 20%Hb o < 9 g/dL + < 30%Hb). 3. En radiografías: opacidades heterogéneas en pulmones, unilateral o bilateral, acompañadas de broncograma aéreo.7 Se excluyeron los neonatos con hemofilia, déficit de vitamina K o con alteraciones de alguno de los factores de la coagulación.

Se consideró HPR cuando los RN no mejoraron o empeoraron dentro de las 24 horas en que se establecieron medidas de apoyo respiratorio y transfusión de hemocomponentes (iniciados con Hb < 11-12 g/dL, según la edad del neonato).8

Del expediente clínico se registró la edad gestacional, peso y talla al nacimiento; el sexo y factores de riesgo asociados a HP (ventilación mecánica, surfactante exógeno, síndrome de distrés respiratorio, sepsis, enfermedad por reflujo gastroesofágico, enterocolitis necrosante, displasia broncopulmonar, atelectasia, coagulación intravascular diseminada, hipertensión pulmonar). Sobre los tres fármacos en estudio, se obtuvo el esquema de dosificación, en cuanto a cantidad, frecuencia y tiempos de administración.

Las variables de resultado del efecto del tratamiento fueron: supervivencia al evento hemorrágico, número de transfusiones recibidas antes y después del uso de los antihemorrágicos, así como los valores de Hb y plaquetas al final del evento.



ANÁLISIS ESTADÍSTICO

No se realizó cálculo de tamaño de muestra, por lo que la selección de pacientes fue por conveniencia. Para la estadística descriptiva, las variables categóricas se presentan con frecuencias y porcentajes; y las variables numéricas con mediana y rango intercuartílico (RIC), dada que no hubo distribución normal. La comparación pre y postratamiento se analizó con prueba de rangos signados de Wilcoxon; mientras que para la comparación entre grupos se utilizó Kruskal-Wallis la prueba exacta de Fisher. La significancia estadística se estableció con p < 0.05. Los datos recolectados se integraron en una base electrónica (Excel®) y analizados con el programa SPSS versión 22®; las gráficas se realizaron con el programa PRISM versión 10®.



ASPECTOS ÉTICOS

El estudio se realizó de acuerdo con los principios establecidos en la Declaración de Helsinki de la Asociación Médica Mundial y con lo establecido en la Ley General de Salud, así como las normas del Comité Científico y de Ética del Hospital Español.



RESULTADOS

Se estudiaron 43 RN, de los cuales 27 (62.8%) fueron varones. Del total, 37 fueron pretérmino (86%), la mediana de peso al nacer fue de 1,400 g y de edad gestacional 32 semanas. En relación con los criterios diagnósticos para HP, todos tuvieron hemoptisis o sangrado por cánula orotraqueal, descenso en niveles de hemoglobina y hematocrito, y en el 86% presencia de imágenes radiológicas (Tabla 1).

Cada paciente, tras el diagnóstico de HP, se manejó con líquidos intravenosos y administración de hemocomponentes, pero ante la falta de respuesta o evidencia de deterioro clínico se inició el uso de fármacos antihemorrágicos. La decisión de utilizar AT, EA o AA fue a criterio del médico tratante y la gravedad del paciente; en la Tabla 2 se describe la frecuencia del uso de cada fármaco, observando que la mayoría recibió AA sólo (n = 19) o en combinación (n = 8).

La supervivencia de los episodios de HP ocurrió en 34 pacientes (79%, IC95% 70-90%). De los nueve fallecidos, la mayoría recibió EA, pero esta frecuencia no fue significativamente diferente con respecto a los otros manejos. En los supervivientes, ocho (23.5%) continuaron con anemia al final del tratamiento y cinco (14.7%) con plaquetopenia, pero sin haber diferencias significativas entre los grupos de tratamiento.

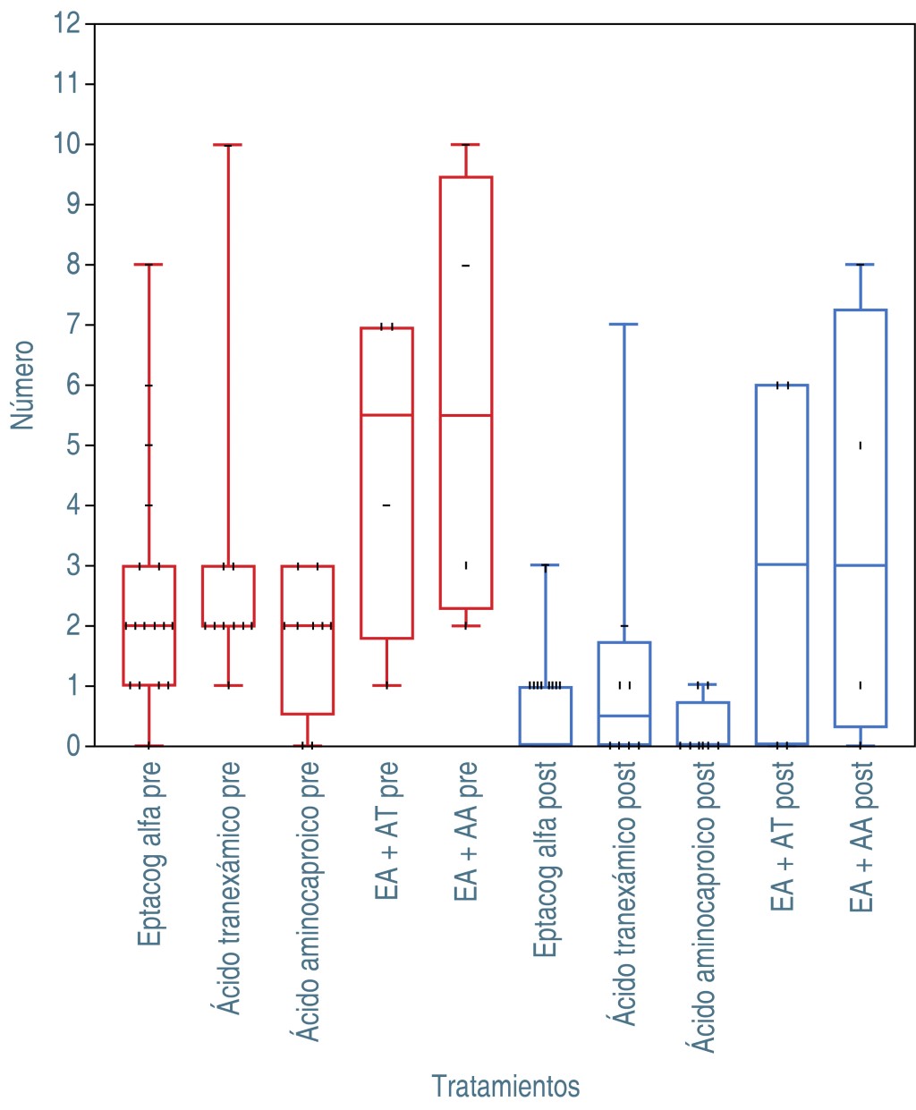
En las Figuras 1 y 2 se muestran los cambios en los requerimientos de transfusión de plasma y paquete globular, de acuerdo con el tipo de tratamiento recibido. Se muestra que en todos los pacientes hubo reducción en el número de transfusiones, posterior al inicio de los fármacos antihemorrágicos. En particular, aquéllos que recibieron tratamientos combinados fueron los que menor reducción presentaron. En general, el número de transfusiones pasó, de dos a tres antes del tratamiento, a no requerir después de iniciar los fármacos.



DISCUSIóN

Los principales hallazgos en este estudio son que la mortalidad asociada a la HP en neonatos fue relativamente baja (20.9%); además, que con el tratamiento administrado se logró reducir el requerimiento de transfusiones de componentes sanguíneos y que al final del seguimiento pocos pacientes tenían anemia o plaquetopenia. Sin embargo, no se pudo determinar si alguno de los tres fármacos estudiados proporcionaba un mayor beneficio, lo cual es consecuencia del diseño del estudio, pero principalmente por el limitado número de pacientes evaluados.

Rodríguez JM refiere que, en pacientes con hemorragia masiva secundaria a trauma, con el uso de AT existe mejor control de sangrado que con AA, recomendando su administración precoz (< 3 horas), dado que su administración tardía se asocia a mayor mortalidad.8 Con respecto al tiempo, en nuestros pacientes se observó mejor control del sangrado y normalización de la hemoglobina, hematocrito, plaquetas y tiempos de coagulación con la administración de los fármacos poco después del inicio del sangrado.

Por otro lado, en el estudio CRASH-2 (Clinical Randomization of an Antifibrinolytic in Significant Haemorrhage-2) se informó que el AT y AA redujeron el riesgo de muerte en trauma obstétrico.9 En nuestro estudio el porcentaje de mortalidad en paciente que recibieron tanto AT como AA fue de 12.5%; sin embargo, la mortalidad fue del 50% en los casos donde se emplearon en conjunto ambos medicamentos, pero se aclara que estos últimos fueron pacientes más graves.

En pacientes RN con HP, Welde y colaboradores recomiendan iniciar con la administración de tres dosis de EA.1 En nuestro estudio, las dosis fueron administradas cada 24 horas, pero cuando se decidió utilizar un segundo fármaco fue indicado el mismo día, con algunas horas de diferencia. En el grupo que estudiamos, en el 80% de los pacientes se observó considerable mejoría clínica y radiológica.

En el Compassionate-Use Programme10 se reportó que en 1,100 pacientes con hemorragia grave refractaria (75% hemofilia congénita, 14% hemofilia adquirida y 11% déficit FVII) hubo adecuado control posterior al uso de EA. En comparación, en el grupo de pacientes que estudiamos, ninguno tenía alteraciones de la coagulación o deficiencia congénita en factores de coagulación, por lo que es muy probable que los resultados hayan sido más favorables, con baja tasa de complicaciones: 18.6% anemia, 11.6% plaquetopenia y 9.3% alteración en los tiempos de coagulación y dímero D.

En una revisión sobre el uso de EA se comenta un estudio realizado en la Universidad de Iowa, con 328 pacientes de UCIN sometidos a cirugía cardiaca; 15 fueron tratados con la administración de EA por hemorragia refractaria y en sus resultados mostraron un buen control.4 En otro estudio, Cosar y colaboradores trataron 21 pacientes con HP en quienes utilizaron EA, reportando que hubo control de la hemorragia en las primeras dos horas; además de incremento en hemoglobina y menor necesidad de transfusión de hemocomponentes.5 En nuestra serie, en el 84% que se administró EA en la primera hora de la detección de la hemorragia, se observó control del sangrado en menos de 60 minutos de la primera dosis, pero 75% requirió más de una dosis.

Con respecto al manejo con el AT, en la University Hospitals Sussex11 recomiendan administrarlo, lo cual está descrito en su diagrama para el control de la hemorragia grave del RN. Por su parte, Raykateeraroj y colaboradores también sugieren su utilidad para reducir las pérdidas sanguíneas durante la cirugía de cardiopatía congénita.12 En el presente estudio, con este fármaco también hubo efecto benéfico, sobre todo cuando la administración ocurrió en las primeras horas del diagnóstico de HP.

Para disponer de un contexto de los resultados de este estudio, debemos reconocer sus debilidades, como el diseño retrospectivo y que la administración de cada uno de los fármacos fue a discreción de los médicos tratantes. Pero como fortalezas señalamos que se pudo determinar adecuadamente la repercusión en cuanto los exámenes de laboratorio y las modificaciones de los sangrados, antes y posterior a la prescripción de los fármacos; además que no hubo pérdida de información y que el seguimiento de cada paciente -en el periodo agudo- fue completo.

Por último, para determinar la eficacia y seguridad del uso de cualquiera de los tres fármacos se requiere la realización de ensayos clínicos aleatorizados, pero dado los hallazgos presentados, nuestra postura es recomendar el uso de estos medicamentos como medidas potencialmente útiles en el control de un sangrado grave que ponga en riesgo la vida del neonato.



CONCLUSIONES

Al parecer, el uso de fármacos antihemorrágicos en RN con HP tienen un efecto benéfico para disminuir el sangrado y la necesidad de requerimientos transfusionales; sin embargo, se requiere de ensayos clínicos para determinar su eficacia y seguridad, particularmente para evaluar si hay diferencia entre usar EA, AT o AA.


REFERENCIAS (EN ESTE ARTÍCULO)

  1. Welde MA, Sanford CB, Mangum M, Paschal C, Jnah AJ. Pulmonary hemorrhage in the neonate. Neonatal Netw. 2021; 40(5): 295-304.

  2. Escribá A, Gil R, Del Río R. Trastornos hemorrágicos en el recién nacido. An Pediatr. 2010; 8(2): 64-72.

  3. Yen TA, Wang CC, Hsieh WS, Chou HC, Chen CY, Tsao PN. Short-term outcome of pulmonary hemorrhage in very-low-birth-weight preterm infants. Pediatr Neonatol. 2013; 54(5): 330-334.

  4. Niles SD, Burkhart HM, Duffey DA, Buhrman K, Burzynski J, Holt DW. Use of recombinant factor VIIa (NovoSeven) in pediatric cardiac surgery. J Extra Corpor Technol. 2008; 40(4): 241-248.

  5. Cosar H, Isik H, Cakir SC et al. Recombinant activated factor VIIa (rFVIIa) treatment in very-low-birth-weight (VLBW) premature infants with acute pulmonary hemorrhage: a single-center, retrospective study. Paediatr Drugs. 2017; 19(1): 53-58.

  6. Can E, Hamilcikan S. Efficay of tranexamic acid in pulmonary hemorrhage in a asphyctic neonate. Iran J Ped Hematol Oncol. 2018; 8(2): 139-141.

  7. Grizelj R, Vukovic J, Filipovic-Grcic B, Saric D, Luetic T. Successful use of recombinant activated FVII and aminocaproic acid in four neonates with life-threatening hemorrhage. Blood Coagul Fribilolysis. 2006; 17(5): 413-415. doi: 10.1097/01.mbc.000233373.71970.6f.

  8. Rodríguez JD. Intervenciones farmacológicas para manejo del sangrado perioperatorio en niños. Rev Mex Anest. 2017; 41(1): 55-58.

  9. Agarwal HS, Bennett JE, Churchwell KB et al. Recombinant factor seven therapy for postoperative bleeding in neonatal and pediatric cardiac surgery. Ann Thorac Surg. 2007; 84(1): 161-168.

  10. Siddiqui MA, Scott LJ. Recombinant factor VIIa (Eptacog Alfa): a review of its use in congenital or acquired haemophilia and other congenital bleeding disorders. Drugs. 2005; 65(8): 1161-1177. doi: 10.2165/00003495-200565080-00008.

  11. Lazner M, Cole J. Paediatric massive haemorrhage protocol. Brighton and Sussex NHS University Hospitals Trust; 2019. Available in: https://nationalbloodtransfusion.co.uk/sites/default/files/documents/2023-03/Paediatric%20Major%20Haemorrhage%20Protocol%20Brighton%20%26%20Sussex%20Hospital%202019.pdf

  12. Raykateeraroj N, Kongsayreepong S, Duangpamorn N, Komoltri C, Subtaweesin T. Efficacy and safety of intraoperative intravenous tranexamic acid in neonates and infants weighing less than 5 kg undergoing congenital cardiac surgery: an exploratory retrospective cohort study. Thai J Anesthesiol. 2023; 49(1): 21-36.



AFILIACIONES

1 Residente de tercer año, Facultad de Ciencias de la Salud, Universidad La Salle, Hospital Español

2 Hematología Pediátrica, Hospital Español

3 Universidad Panamericana

4 Neonatología, Hospital Español

5 Departamento de Pediatría, Hospital Español. Ciudad de México.



CORRESPONDENCIA

Dra. Katy Abigail Solís-Sánchez, E-mail: abigail258@hotmail.com




Recibido: 30/10/2024. Aceptado: 09/04/2025

Figura 1
Figura 2
Tabla 1
Tabla 2

2020     |     www.medigraphic.com

Mi perfil

C?MO CITAR (Vancouver)

Rev Mex Pediatr. 2025;92

ARTíCULOS SIMILARES

CARGANDO ...