medigraphic.com
SPANISH

Cardiovascular and Metabolic Science

ISSN 2954-3835 (Electronic)
ISSN 2683-2828 (Print)
Antes Revista Mexicana de Cardiología

Ver Revista Mexicana de Cardiología


  • Contents
  • View Archive
  • Information
    • General Information        
    • Directory
  • Publish
    • Instructions for authors        
    • Send manuscript
  • medigraphic.com
    • Home
    • Journals index            
    • Register / Login
  • Mi perfil

2021, Number S3

<< Back Next >>

Cardiovasc Metab Sci 2021; 32 (S3)

An appropriate scale of atherosclerotic risk for Mexicans -in search of the Golden Fleece of epidemiological legitimacy-

Meaney, Eduardo1; Martínez-Marroquín, Martha Yolanda1; Nájera, Nayelli1; Ceballos, Guillermo1
Full text How to cite this article 10.35366/100795

DOI

DOI: 10.35366/100795
URL: https://dx.doi.org/10.35366/100795

Language: English
References: 9
Page: s192-195
PDF size: 132.29 Kb.


Key words:

No keywords





BACKGROUND

In the last decades Mexico have experienced accelerated epidemiological, nutritional, and anthropometric transitions, that have changed substantially the pathological profile of its population, as well as the main causes of general morbidity and mortality. This rapid transformation took health authorities, social security institutions, medical community, and society itself by surprise. The year before the pandemic of COVID-19, myocardial infarction was the leading cause of overall mortality, with more than 100,000 victims. Mortality from myocardial infarction in Mexico is the highest among the countries encompassed in the Organization for Economic Co-operation and Development (OECD), which groups together some of the most important economies in the world.

Beneath the increase in fatal and non-fatal cases of atherosclerotic cardiovascular diseases (ASCVD) in Mexico, lies the epidemic of diabesity and dysmetabolic obesity and overweight (the misnamed "metabolic syndrome"). Diabetes and obesity share many physio-pathological mechanisms, as the binomial insulin resistance/hyperinsulinism, lipid triad, chronic inflammation, nitroxidative stress, and hypertension, among others, all of them possessing powerful pro-atherogenic effects.

In fact, Mexican population has a very peculiar cardiometabolic profile: obesity or overweight ravage 70% or more of the adult population; at least, 60% of the population have low values of high-density lipoproteins (HDL-c), about half of our people have hypertriglyceridemia, more than half exhibits the so-called lipid triad (atherogenic dyslipidemia), and 25-30% suffered high blood pressure, among other relevant vascular risk factors.

Among the numerous factors and problems that hinder the adequate control of the atherosclerosis epidemic in Mexico are a corroded and technologically backward national health system, a lack of enough financial resources for health, insufficient number of trained physicians and nurses, absence of public policies focused in primary and secondary atherosclerosis prevention, an imperfect system of timely risk factor detection, and a slow and red-taped referral and counter-referral flow between the different levels of the health pyramidal system. In addition, we do not have a proper system of vascular risk scale that considers the peculiarities of contemporary Mexicans.

The correct estimation of risk has paramount importance in primary prevention because allows a scientific based prognosis, predicts vascular outcomes, differentiates high-risk patients, and guides and tailors the application of several preventive measures. Currently there are a handful of risk scales (SCORE, GLOBORISK, ASCVD Risk Calculator plus from AHA/ACC, etc.), none of them free of criticisms, which reflect the characteristic of other populations, quite different from our own.

These scoring systems are estimated from algorithms derived from certain national or international cohorts. In general, as these studies are very costly and burdensome, all the current risk scales have been done in developed and rich countries, as the United States or some European Union nations. In less developed countries, the lack of this type of studies, force the care providers to use those systems that are meaningful for the populations that provided the data from which the scales were estimated. The claiming that all human beings share the same traits, ignores unscientifically human biodiversity, and the particularities given by different genetic, ethnic, dietary, and environmental influences.

In this context, our group took the data from the Lindavista study, an essay of multiple primary prevention interventions, which reflects the profile of a cohort of urban middle-class inhabitants of northern Mexico City, as a first step to develop a risk scale according with our anthropometric and metabolic idiosyncrasies.

The "Lindavista risk scale". The Lindavista cohort is composed by a convenient sample of 2,602 individuals aged 35 or older, of either gender, and free of clinical ASCVD at recruitment, and whose characteristics have already been published. Eleven traits, including age and gender were considered (Table 1). Arbitrary values between 0 to 3 (positive or negative) were assigned to each factor, according to their magnitude, considering the contemporary concepts of "normality" of each one. The sum of all scoring variables (maximally 33) was named "Lindavista risk scale", representing both, the number of risk factors and its magnitude, as both correlates closely with the incidence of clinical outcomes.

Calibrating the "Lindavista risk scale". The risk scale was calculated in all cohort's participants. To calibrate the meaning of these numbers, we use an atherogenic index, national and internationally proven as a reliable and simple risk.

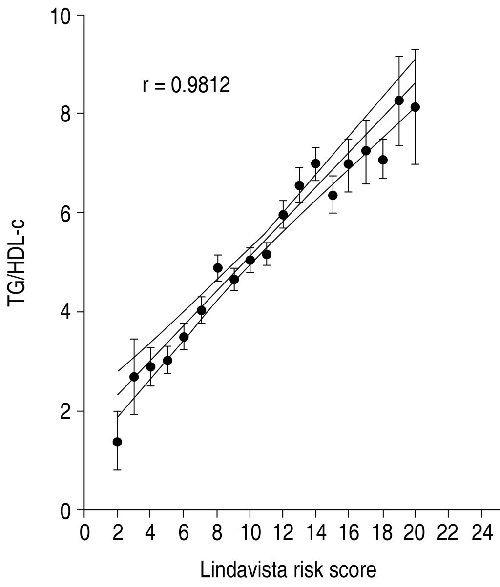
Index: the ratio between triglycerides (TG) and high-density lipoprotein (HDL-c), which high values reflect insulin resistance and lipid triad, correlating well with coronary mortality, endothelial dysfunction, dysglycemia, and vascular lesions extension. Using the conventional interpretation of the values of this index and its interpretation in terms of risk, we could assign the lowest risk characterization to Lindavista scores < 4, intermediate risk to 4 to 12, and high-risk beyond that value (Table 2). The next steps should be to compare both the TG/HDL-c index and the Lindavista Risk Score values with the ASVCD risk estimated with the traditional scales, and of course to test both in prospective, long-term studies (Figure 1).

This is only the beginning of the search for the epidemiological Golden Fleece (a sign of authority and legitimacy in Greek mythology), that can give scientific validity to the measurement of atherosclerotic vascular risk in our country.


REFERENCES

  1. Meaney E, Lara-Esqueda A, Ceballos-Reyes GM, Asbun J, Vela A, Martínez-Marroquín Y et al. Cardiovascular risk factors in the urban Mexican population: the FRIMEX study. Publ Health. 2007; 121: 378-384.

  2. Fanghanel-Salmón G, Gutiérrez-Salmeán G, Samaniego V, Meaney A, Sánchez-Reyes L, Navarrete U, et al. Obesity phenotypes in urban middle-class cohorts; the PRIT-Lindavista merging evidence in Mexico: the OPUS PRIME study. Nutr Hosp. 2015; 32: 182-188.

  3. Meaney A, Ceballos-Reyes G, Gutiérrez-Salmean G, Samaniego-Méndez V, Vela-Huerta A, Alcocer L et al. Cardiovascular risk factors in a Mexican middle-class urban population. The Lindavista Study. Baseline data. Arch Cardiol Méx. 2013; 83: 249-256.

  4. Gaziano JM, Hennekens CH, O'Donnell CJ, Breslow JL, Buring JE. Fasting triglycerides, high-density lipoprotein, and risk of myocardial infarction. Circulation. 1997; 96: 2520-2525.

  5. He S, Wang S, Chen X, Jiang L, Peng Y, Li L, Wan L, Cui K. Higher ratio of triglyceride to high-density lipoprotein cholesterol may predispose to diabetes mellitus: 15-year prospective study in a general population. Metabolism. 2012; 61: 30-36.

  6. Bittner V, Johnson D, Zineh I, Rogers WJ, Vido D, Marroquin OC et al. The TG/HDL cholesterol ratio predicts all cause mortality in women with suspected myocardial ischemia. A report from the Women's Ischemia Syndrome Evaluation (WISE). Am Heart J. 2009; 157: 548-555.

  7. Murguía-Romero M, Jiménez-Flores JR, Sigrist-Flores SC, Espinoza-Camacho MA, Jiménez-Morales M, Piña E et al. Plasma triglyceride/HDL-cholesterol ratio, insulin resistance, and cardiometabolic risk in young adults. J Lipid Res. 2013; 54: 2795-2799.

  8. Lemos da Luz P, Favarato D, Faria-Neto Junior JR, Lemos P, Palandri Chagas AC. High ratio of triglycerides to HDL-cholesterol predicts extensive coronary disease. Clinics. 2008; 63: 427-432.

  9. Borrayo G, Basurto L, González-Escudero E, Díaz A, Vázquez A, Sánchez L et al. TG/HDL-c ratio as cardio-metabolic biomarker even in normal weight women. Acta Endocrinol (Buchar). 2018; 14: 261-267.



AFFILIATIONS

1 Laboratorio de Investigación Integral Cardiometabólica. Escuela Superior de Medicina. Instituto Politécnico Nacional. Ciudad de México, México.



CORRESPONDENCE

Eduardo Meaney, MD, PhD. E-mail: emeaney@ipn.mx; lalitomini1@gmail.com




Received: 01/07/2021. Accepted: 12/07/2021

Figure 1
Table 1
Table 2

2020     |     www.medigraphic.com

Mi perfil

C?MO CITAR (Vancouver)

Cardiovasc Metab Sci . 2021;32