medigraphic.com
SPANISH

Revista ADM Órgano Oficial de la Asociación Dental Mexicana

ISSN 0001-0944 (Print)
Órgano Oficial de la Asociación Dental Mexicana
  • Contents
  • View Archive
  • Information
    • General Information        
    • Directory
  • Publish
    • Instructions for authors        
    • Send manuscript
  • medigraphic.com
    • Home
    • Journals index            
    • Register / Login
  • Mi perfil

2021, Number 5

<< Back Next >>

Rev ADM 2021; 78 (5)

Salivary mucin in obese patients in relation to the treatment of periodontal disease.

Celia AC, Romero MA, Acuña MJ, Juárez RPA
Full text How to cite this article 10.35366/102033

DOI

DOI: 10.35366/102033
URL: https://dx.doi.org/10.35366/102033

Language: Spanish
References: 19
Page: 264-269
PDF size: 209.08 Kb.


Key words:

Mucin, saliva, periodontal disease, obesity.

ABSTRACT

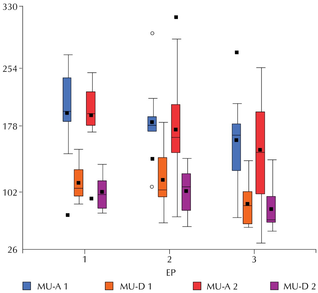
Introduction: Salivary mucin (sM) modulates other salivary proteins that participate in multiple physiological functions of the oral cavity. sM levels can provide information on the state of inflammation of the periodontium. Therefore, the objective of the present study was to evaluate sM levels in obese and non-obese patients, before and after periodontal treatment. Material and methods: A total of 60 patients were distributed into six groups, according to the body mass index (BMI) and the severity of the periodontal disease (PD). BMI values higher than 27 corresponded to obesity. PD at the time of diagnosis was designated as mild, moderate, or severe. Complete saliva samples were collected before (MU-B) and after (MU-A) the periodontal treatment. sM levels were evaluated using the Alcian Blue method. The results were analyzed with the InfoStat Software, using descriptive and inferential statistics. Results: MU-B values were higher than MU-A contents (p < 0.0001). Variations between non-obese and obese patients were minimal. As the level of PD increased, the variables MU-A and MU-D showed a progressive decrease (p = 0.0032). Conclusions: The level of sM was higher in the saliva of patients with untreated PD. sM can be used as an inflammatory marker for the detection of PD.


REFERENCES

  1. Kononen E, Gursoy M, Gursoy UK. Periodontitis: A Multifaceted Disease of Tooth-Supporting Tissues. J Clin Med. 2019; 8 (8): 1135-1146.

  2. Martinez-Herrera M, Silvestre-Rangil J, Silvestre FJ. Association between obesity and periodontal disease. A systematic review of epidemiological studies and controlled clinical trials. Med Oral Patol Oral Cir Bucal. 2017; 22 (6): 708-715.

  3. Dahiya P, Kamal R, Gupta R. Obesity, periodontal and general health: Relationship and management. Indian J Endocrinol Metab. 2012; 16 (1): 88-93.

  4. Podzimek S, Vondrackova L, Duskova J, Janatova T, Broukal Z. Salivary Markers for Periodontal and General Diseases. Dis Markers. 2016; 9179632. doi:10.1155/2016/9179632

  5. Situ H, Bobek LA. In vitro assessment of antifungal therapeutic potential of salivary histatin-5, two variants of histatin-5, and salivary mucin (MUC7) domain 1. Antimicrob Agents Chemother. 2000; 44 (6):1485-1493.

  6. Sánchez GA, Miozza V, Delgado A, Busch L. Determination of salivary levels of mucin and amylase in chronic periodontitis patients. J Periodontal Res. 2011; 6 (2): 221-227.

  7. Sánchez GA, Miozza VA, Delgado A, Busch L. Relationship between salivary mucin or amylase and the periodontal status. Oral Dis. 2013; 19 (6): 585-591.

  8. Kejriwal S, Bhandary R, Thomas B, Kumari S. Estimation of levels of salivary mucin, amylase and total protein in gingivitis and chronic periodontitis patients. J Clin Diagn Res. 2014; 8 (10): 56-60.

  9. Groenink J, Walgreen-Weterings E, Nazmi K, Bolscher JG, Veerman EC, van Winkelhoff AJ et al. Salivary lactoferrin and low-Mr mucin MG2 in Actinobacillus actinomycetemcomitans-associated periodontitis. J Clin Periodontol. 1999; 26 (5): 269-275.

  10. Rocha D de M, Zenóbio EG, Van Dyke T, Silva KS, Costa FO, Soares RV. Differential expression of salivary glycoproteins in aggressive and chronic periodontitis. J Appl Oral Sci. 2012; 20 (2): 180-185.

  11. Gibbins HL, Proctor GB, Yakubov GE, Wilson S, Carpenter GH. SIgA binding to mucosal surfaces is mediated by Mucin-Mucin interactions. PLoS One. 2015; 10 (4): e0119677. doi:10.1371/journal.pone.0126887

  12. Rangé H, Léger T, Huchon C, Ciangura C, Diallo D, Poitou C et al. Salivary proteome modifications associated with periodontitis in obese patients. J Clin Periodontol. 2012; 39 (9): 799-806.

  13. Garrow JS, Webster J. Quetelet's index (W/H2) as a measure of fatness. Int J Obes.1985; 9 (2): 147-153.

  14. Tremblay A, Bandi V. Impact of body mass index on outcomes following critical care. Chest. 2003; 123 (4): 1202-1207.

  15. Caton JG, Armitage G, Berglundh T, Chapple ILC, Jepsen S, Kornman KS et al. A new classification scheme for periodontal and peri-implant diseases and conditions - Introduction and key changes from the 1999 classification. J Clin Periodontol. 2018; 45 (Suppl 20): S1-S8.

  16. Acquier AB, Pita AK, Busch L, Sánchez GA. Comparison of salivary levels of mucin and amylase and their relation with clinical parameters obtained from patients with aggressive and chronic periodontal disease. J Appl Oral Sci. 2015; 23 (3): 288-294.

  17. Lundmark A, Johannsen G, Eriksson K, Kats A, Jansson L, Tervahartiala T et al. Mucin 4 and matrix metalloproteinase 7 as novel salivary biomarkers for periodontitis. J Clin Periodontol. 2017; 44 (3): 247-254.

  18. Roa I, Del Sol M. Obesity, salivary glands and oral pathology. Colomb Med (Cali). 2018; 49 (4): 280-287.

  19. Ostrowska L, Gornowicz A, Pietraszewska B, Bielawski K, Bielawska A. Which salivary components can differentiate metabolic obesity? PLoS One. 2020; 15 (6): e0235358. doi: 10.1371/journal.pone.0235358




Figure 1
Figure 2
Table 1
Table 2

2020     |     www.medigraphic.com

Mi perfil

C?MO CITAR (Vancouver)

Rev ADM. 2021;78