medigraphic.com
SPANISH

Revista Mexicana de Patología Clínica y Medicina de Laboratorio

ISSN 0185-6014 (Print)
Órgano oficial de difusión de la Federación Mexicana de Patología Clínica, AC y de la Asociación Latinoamericana de Patología Clínica/Medicina de Laboratorio
  • Contents
  • View Archive
  • Information
    • General Information        
    • Directory
  • Publish
    • Instructions for authors        
  • medigraphic.com
    • Home
    • Journals index            
    • Register / Login
  • Mi perfil

2021, Number 4

Next >>

Rev Mex Patol Clin Med Lab 2021; 68 (4)

Clinical characteristics of 552 COVID-19 cases in Mexico City and its relationship with the RT-PCR test

Romero-Cabello R, Romero-Feregrino R, Romero-Feregrino R, Muñoz-Cordero B, Sevilla-Fuentes S, Amancio-Chassin O, Ortega-Castañeda BR, Rodríguez-León MA
Full text How to cite this article 10.35366/105520

DOI

DOI: 10.35366/105520
URL: https://dx.doi.org/10.35366/105520

Language: Spanish
References: 25
Page: 164-171
PDF size: 334.77 Kb.


Key words:

COVID-19, SARS-CoV-2, RT-PCR, diagnosis, COVID-19 symptoms.

ABSTRACT

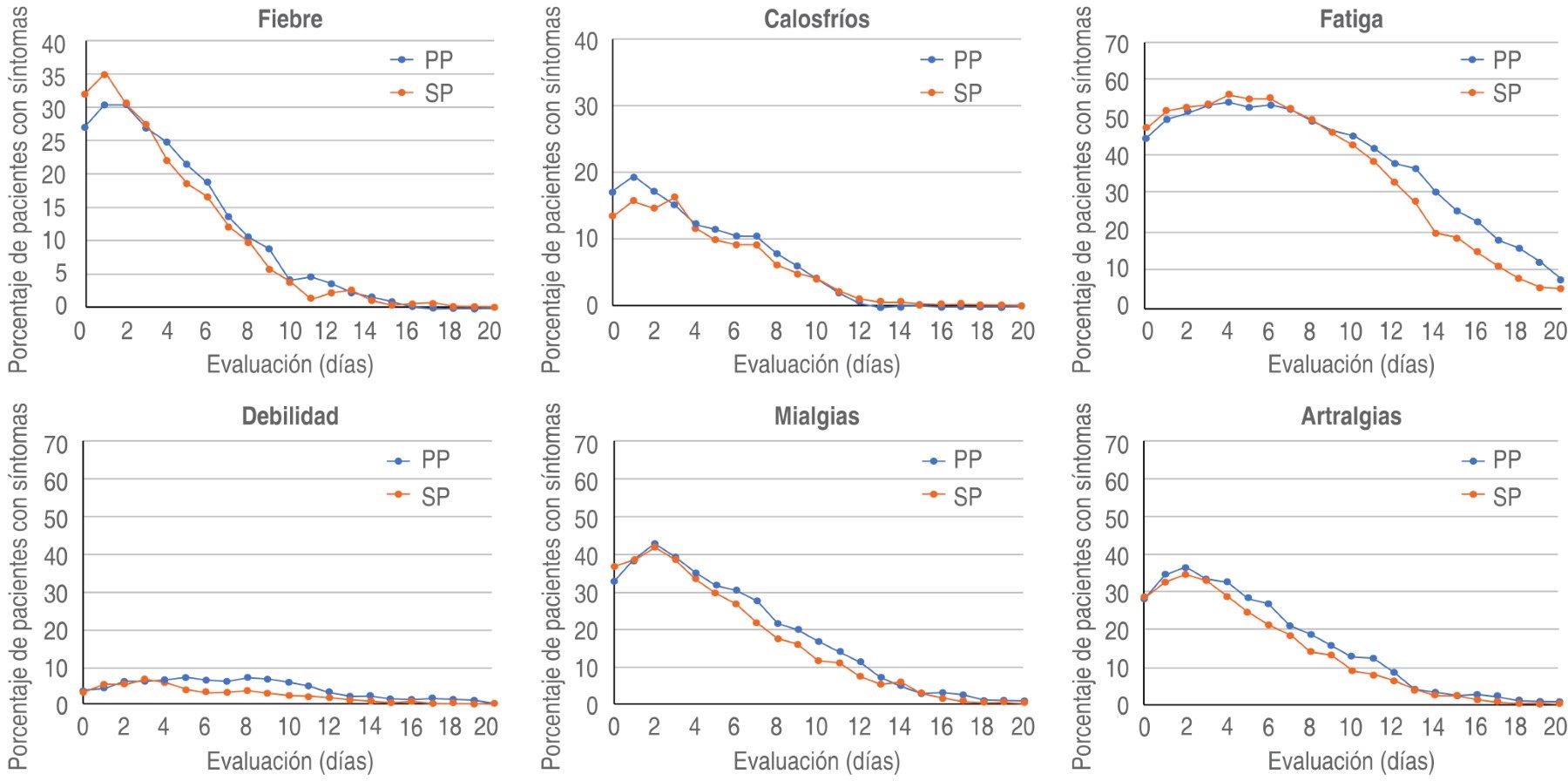
Introduction: Since December 2019 numerous cases of COVID-19 (Coronavirus disease 2019) have been reported. COVID-19 has a wide clinical spectrum. Most patients show symptoms after an incubation period of 1 to 14 days. Early diagnosis is crucial. SARS-CoV-2 can be detected in various secretions. Objective: To show that, regardless of having a positive diagnostic test (molecular detection of the SARS-CoV-2 nucleic acid) or not, the presentation and clinical course of patients with COVID-19 are practically the same. Material and methods: Descriptive and retrolective study, two groups were established based on the real-time reverse transcriptase-polymerase chain reaction (RT-PCR). Results: 552 patients were included. The referred symptoms were varied and represent the multiple organic involvement of this disease. Conclusion: For the diagnosis of COVID-19, special attention must be paid to the search and recognition of clinical data; performing a diagnostic test is desirable, but the mere presence of symptoms and their careful analysis may be sufficient for the diagnosis of COVID-19.


REFERENCES

  1. Zheng F, Tang W, Li H et al. Clinical characteristics of 161 cases of coronavirus disease 2019 (COVID-19) in Changsha. Eur Rev Med Pharmacol Sci. 2020; 24: 3404-3410.

  2. Macera M, De Angelis G, Sagnelli C et al. Clinical presentation of COVID-19: case series and review of the literature. Int J Environ Res Public Health. 2020; 17: 5062. doi: 10.3390/ijerph17145062.

  3. Sanders JM, Monogue ML, Jodloski TZ et al. Pharmacologic treatments for coronavirus disease 2019 (COVID-19): a review. JAMA. 2020; 323: 1824-1836. doi: 10.1001/jama.2020.6019.

  4. Wang Y, Wang Y, Chen Y et al. Unique epidemiological and clinical features of the emerging 2019 novel coronavirus pneumonia (COVID-19) implicate special control measures. J Med Virol. 2020; 92 (6): 568-576.

  5. Singhal T. A review of coronavirus disease-2019 (COVID-19). Indian J Ped. 2020; 87: 281-286.

  6. Hu B, Gao H, Zhou P et al. Characteristics of SARS-CoV-2 and COVID-19. Nat Rev Microbiol. Available in: https://doi.org/10.1038/s41579-020-00459-7

  7. Giacomelli A, Pezzati L, Conti F et al. Self-reported olfactory and taste disorders in patients with severe acute respiratory Coronavirus 2 infection: A cross-sectional study. CID. 2020. doi: 10.1093/cid/ciaa330

  8. Bordi L, Nicastri E, Scorzolini L et al. Differential diagnosis of illness in patients under investigation for the novel coronavirus (SARS-CoV-2), Italy, February 2020. Euro Surveill 2020; 25: pii=2000170. Available in: https://doi.org/10.2807/1560-7917.ES.2020.25.8.2000170

  9. Chan JF-W, Yip CC-Y, To KK-W et al. Improved molecular diagnosis of COVID-19 by the novel, highly sensitive and specific COVID-19-RdRp/Hel real-time reverse transcription-PCR assay validated in vitro and with clinical specimens. J Clin Microbiol. 2020; 58: e00310-20. Available in: https://doi.org/10.1128/JCM.00310-20

  10. Nagura-Ikeda M, Imai K, Tabata S et al. Clinical evaluation of self-collected saliva by quantitative reverse transcription-PCR (RT-qPCR), direct RT-qPCR, reverse transcription-loop-mediated isothermal amplification, and a rapid antigen test to diagnose COVID-19. J Clin Microbiol. 2020; 58 (9): e01438-20. Available in: https://doi.org/10.1128/JCM.1438-20

  11. Guan W, Ni Z, Hu Y et al. Clinical characteristics of coronavirus disease 2019 in China. N Engl J Med. 2020; 382: 1708-1720. doi: 10.1056/NEJMoa2002032.

  12. Chen N, Zhou M, Dong X et al. Epidemiological and clinical characteristics of 99 cases of 2019 novel coronavirus pneumonia in Wuhan, China: a descriptive study. Lancet. 2020; 395: 507-513.

  13. Pan L, Mu M, Yang P et al. Clinical characteristics of COVID-19 patients with digestive symptoms in Hubei, China: a descriptive. Cross-sectional, multicenter study. Am J Gastroenterol. 2020; 115: 766-773.

  14. Wang D, Hu C, Zhu F et al. Clinical Characteristics of 138 Hospitalized Patients with 2019 Novel Coronavirus-Infected Pneumonia in Wuhan, China. JAMA. 2020; 323: 1061-1069. doi: 10.1001/jama.2020.1585.

  15. Lechien JR, Chiesa-Estomba CM, Vaira LA et al. Epidemiological, otolaryngological, olfactory and gustatory outcomes according to the security of COVID-19: a study of 2579 patients. Eur Arch Otorhinolaryngol. 2020; 278: 2851-2859. Available in: https://doi.org/10.1007/s00405-020-06548-w

  16. Huang C, Wang Y, Li X et al. Clinical features of patients infected with 2019 novel coronavirus in Wuhan, China. Lancet. 2020; 395: 497-506.

  17. Chen L, Deng C, Chen X et al. Ocular manifestation, and clinical characteristics of 535 cases of COVID-19 in Wuhan, China: a cross-sectional study. Acta Ophthalmol. 2020; 98 (8): e951-e959. doi: 10.1111/aos.14472

  18. Wu P, Duan F, Luo C et al. Characteristics of ocular findings of patients with Coronavirus disease 2019 (COVID-19) in Hubei Providence, China. JAMA Ophthalmol. 2020; 138: 575-578. doi: 10.1001/jamaophthalmol.2020.1291.

  19. Kuriyama A, Urushidani S, Nakayama T. Five-level emergency triage systems: variation in assessment of validity. Emerg Med J. 2017; 34: 703-710.

  20. Ji D, Zhang D, Xu J et al. Prediction for Progression Risk in Patients with COVID-19 pneumonia: the call score. Clin Infect Dis. 2020; 71: 1393-1399.

  21. Wang W, Xu Y, Gao R et al. Detection of SRAS-CoV-2 in different types of clinical specimens. JAMA. 2020; 323: 1843-1844.

  22. World Health Organization. Laboratory testing for 2019 novel coronavirus (2019-nCoV) in suspected human cases. Interim guidance- 2020. Available in: WHO/2019-nCoV-laboratory/2020.3

  23. Nalla AK, Casto AM, Huang M-LW et al. Comparative performance of SARS-CoV-2 detection assays using seven different primer probe sets and one assay kit. J Clin Microbiol. 2020; 58: e00557-20. Available in: https://doi.org/10.1128/JCM.00557-20

  24. Wyllie Al, Fournier J, Casanovas-Mssana A et al. Saliva or nasopharyngeal swab specimens for detection of SARS-CoV-2. N Engl J Med. 2020; 383: 1283-1286. doi: 10.1056/NEJMc2016359.

  25. Axell-House D, Lavingia R, Rafferty M et al. The estimation of diagnostic accuracy of tests for COVID-19: a scoping review. J Infection. 2020; 81 (5): 681-697. Available in: https://doi.org/10.1016/j.jinf.2020.08.043




Figure 1
Figure 2
Figure 3
Figure 4
Figure 5
Figure 6
Table 1
Table 2

2020     |     www.medigraphic.com

Mi perfil

C?MO CITAR (Vancouver)

Rev Mex Patol Clin Med Lab. 2021;68