medigraphic.com
SPANISH

Acta Ortopédica Mexicana

ISSN 2992-8036 (Electronic)
ISSN 2306-4102 (Print)
Órgano Oficial del Colegio Mexicano de Ortopedia y Traumatología
  • Contents
  • View Archive
  • Information
    • General Information        
    • Directory
  • Publish
    • Instructions for authors        
  • medigraphic.com
    • Home
    • Journals index            
    • Register / Login
  • Mi perfil

2022, Number 2

<< Back Next >>

Acta Ortop Mex 2022; 36 (2)

Lumbar plexus nerve block provides better analgesic management than periarticular infiltration in primary total hip arthroplasty. Comparative, prospective, and single-blind clinical trial

Iglesias S, Gentile L, López P, Pioli I, Mangupli M, Gómez J, Allende B
Full text How to cite this article 10.35366/108121

DOI

DOI: 10.35366/108121
URL: https://dx.doi.org/10.35366/108121

Language: Spanish
References: 24
Page: 79-84
PDF size: 206.35 Kb.


Key words:

arthroplasty, pain, lumbar plexus, periarticular infiltration.

ABSTRACT

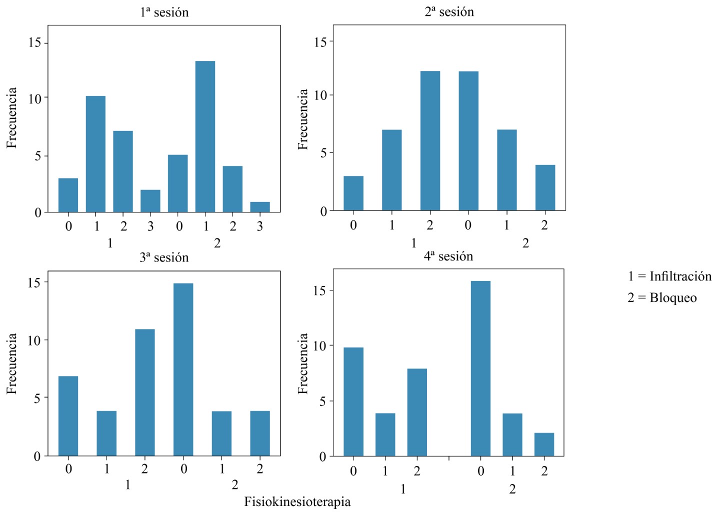
Introduction: joint replacement is a highly effective intervention that significantly improves the patient's quality of life, relieves symptoms, restores joint function, and improves mobility and independence. The optimal pain control after total hip replacement has become an important goal of postoperative management. The purpose of this paper is to compare periarticular infiltration (PAI) and lumbar plexus nerve block (LPNB) for the management of post-operative pain in primary total hip arthroplasty because we believe that LPNB provides better analgesic management and lower opioid consumption. We evaluated the opioid usage during hospitalization and the complications derived from either technique. Material and methods: we randomized 45 patients who underwent elective total hip arthroplasty between January 2019 and January 2020. Two groups were evaluated based on the association of PAI or LPNB. Both as part of a multimodal analgesic regimen. Results: a total of 45 patients were evaluated (22 PAI group, 23 LPNB group). Block group required less opioid administration (p = 0.069). Most of the patients in both groups reported mild/moderate pain. The LPNB group had lower pain scale with physiotherapy. We did not have complications derived from either technique. Conclusion: lumbar plexus nerve block (LPNB) in patients undergoing total hip arthroplasty provides better pain management and reduced opioid consumption compared to PAI. The performance of this technique does not delay the beginning of physiotherapy and there were not any issues with the patient's recovery.


REFERENCES

  1. Osmon DR, Berbari EF, Berendt AR, Lew D, Zimmerli W, Steckelberg JM, et al. Diagnosis and management of prosthetic joint infection: clinical practice guidelines by the Infectious Diseases Society of America. Clin Infect Dis. 2013; 56(1): e1-25.

  2. Kurtz S, Ong K, Lau E, Mowat F, Halpern M. Projections of primary and revision hip and knee arthroplasty in the United States from 2005 to 2030. J Bone Joint Surg Am. 2007; 89(4): 780-5.

  3. Urban MK, Chiu T, Wolfe S, Magid S. Electronic ordering system improves postoperative pain management after total knee or hip arthroplasty. Appl Clin Inform. 2015; 6(3): 591-9.

  4. Covert CR, Fox GS. Anaesthesia for hip surgery in the elderly. Can J Anaesth. 1989; 36(3 Pt 1): 311-9.

  5. Maheshwari A, Blum Y, Shekhar L, Ranawat A, Ranawat C. Multimodal pain management after total hip and knee arthroplasty at the Ranawat Orthopaedic Center. Clin Orthop Relat Res. 2009; 467(6): 1418-23.

  6. Tali M, Maaroos J. Lower limbs function and pain relationships after unilateral total knee arthroplasty. Int J Rehabil Res. 2010; 33(3): 264-7.

  7. Brokelman RB, van Loon CJ, Rijnberg WJ. Patient versus surgeon satisfaction after total hip arthroplasty. J Bone Joint Surg Br. 2003; 85(4): 495-8.

  8. Krechel SW, Bildner J. CRIES: a new neonatal postoperative pain measurement score. Initial testing of validity and reliability. Paediatr Anaesth. 1995; 5(1): 53-61.

  9. Kehelet H. Procedure-specific postoperative pain management. Anesthesiology Clin N Am. 2005; 23: 203-10.

  10. Gan TJ, Lubarsky DA, Flood EM, Thanh T, Mauskopf J, Mayne T, et al. Patient preferences for acute pain treatment. Br J Anaesth. 2004; 92(5): 681-8.

  11. Mansour NY, Bennetts FE. An observational study of combined continuous lumbar plexus and single-shot sciatic nerve blocks for post-knee surgery analgesia. Reg Anesth. 1996; 21(4): 287-91.

  12. Hood G, Edbrooke DL, Gerrish SP. Postoperative analgesia after triple nerve block for fractured neck of femur. Anaesthesia. 1991; 46(2): 138-40.

  13. Birnbaum K, Prescher A, Hessler S, Heller KD. The sensory innervation of the hip joint--an anatomical study. Surg Radiol Anat. 1997; 19(6): 371-5.

  14. Bonnet F, Marret E. Postoperative pain management and outcome after surgery. Best Pract Res Clin Anaesthesiol. 2007; 21(1): 99-107.

  15. Salcedo ZL, Iglesias S, Ruchelli L, Allende BL. Bloqueo femoral vs. infiltración periarticular en reemplazo total de rodilla primario. Rev ACARO. 2015; 1(2): 81-8.

  16. Chelly JE, Ben-David B, Williams BA, Kentor ML. Anesthesia and postoperative analgesia: outcomes following orthopedic surgery. Orthopedics. 2003; 26(8 Suppl): s865-71.

  17. Iglesias SL, Rodríguez-Urmenyi C, Mangupli MM, Pioli I, Gómez J, Allende BL. Continuous vs. intermittent intravenous analgesia for primary total knee replacement: analysis of the quality of the pain control, hospital stay and costs. Acta Ortop Mex. 2018; 32(3):134-9.

  18. Puolakka PA, Rorarius MG, Roviola M, Puolakka TJ, Nordhausen K, Lindgren L. Persistent pain following knee arthroplasty. Eur J Anaesthesiol. 2010; 27(5): 455-60.

  19. Johnson RL, Amundson AW, Abdel MP, Sviggum HP, Mabry TM, Mantilla CB, et al. Continuous posterior lumbar plexus nerve block versus periarticular injection with ropivacaine or liposomal bupivacaine for total hip arthroplasty: a three-arm randomized clinical trial. J Bone Joint Surg Am. 2017; 99(21):1836-45.

  20. Wheeler M, Oderda GM, Ashburn MA, Lipman AG. Adverse events associated with postoperative opioid analgesia: a systematic review. J Pain. 2002; 3(3): 159-80.

  21. Johnson RL, Kopp SL. Optimizing perioperative management of total joint arthroplasty. Anesthesiol Clin. 2014; 32(4): 865-80.

  22. Emerson RH, Barrington JW, Olugbode O, Lovald S, Watson H, Ong K. Comparison of local infiltration analgesia to bupivacaine wound infiltration as part of a multimodal pain program in total hip replacement. J Surg Orthop Adv. 2015; 24(4): 235-41.

  23. Busch CA, Whitehouse MR, Shore BJ, MacDonald SJ, McCalden RW, Bourne RB. The efficacy of periarticular multimodal drug infiltration in total hip arthroplasty. Clin Orthop Relat Res. 2010; 468(8): 2152-9.

  24. YaDeau JT, Goytizolo EA, Padgett DE, Liu SS, Mayman DJ, Ranawat AS, et al. Analgesia after total knee replacement: local infiltration versus epidural combined with a femoral nerve blockade: a prospective, randomised pragmatic trial. Bone Joint J. 2013; 95-B(5): 629-35.



EVIDENCE LEVEL

II




Figure 1
Figure 2
Figure 3
Figure 4
Figure 5
Table 1

2020     |     www.medigraphic.com

Mi perfil

C?MO CITAR (Vancouver)

Acta Ortop Mex. 2022 Mar-Abr;36