medigraphic.com
SPANISH

Medicina Crítica

  • Contents
  • View Archive
  • Information
    • General Information        
    • Directory
  • Publish
    • Instructions for authors        
  • Policies
  • Lineamientos
  • medigraphic.com
    • Home
    • Journals index            
    • Register / Login
  • Mi perfil

2023, Number 2

<< Back Next >>

Med Crit 2023; 37 (2)

Diagnostic accuracy of the proposed new definition of acute kidney injury (KDIGO plus uNGAL) in critically ill patients

Jacinto FSA, Alcántara MCI, Mora MGM, Visoso PP, Esparza CJG
Full text How to cite this article 10.35366/110442

DOI

DOI: 10.35366/110442
URL: https://dx.doi.org/10.35366/110442

Language: Spanish
References: 49
Page: 88-94
PDF size: 287.87 Kb.


Key words:

acute kidney injury, uNGAL, KDIGO, RIFLE, AKIN, biomarker.

ABSTRACT

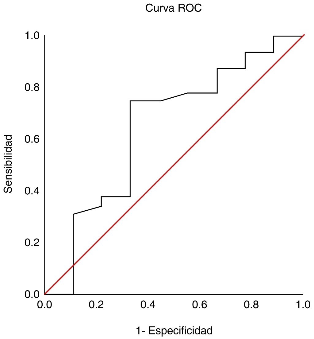
Introduction: what we now know as acute kidney injury (AKI) in the last century had at least 25 concepts and 35 different definitions; In this century, the RIFLE, AKIN, and KDIGO definitions and classification systems for severity were developed, based on creatinine, urine output, and need for renal replacement therapy. In the last decade, biomarkers of AKI have been studied; It is suggested that research be carried out on whether a combination of damage and functional biomarkers together with clinical information, in high-risk patients, could help improve the diagnostic accuracy of the proposed new definition of AKI. Objective: to estimate the diagnostic accuracy of the proposed new definition of AKI in critically ill patients. Material and methods: an observational, analytical, prospective and longitudinal study was carried out in patients older than 18 years, admitted to intensive care at the Hospital Central Sur de Alta Especialidad in the period from May 1, 2022 to July 10 2022. Results: in the study group (41 patients), the mean age was 62.5 ± 14.22 years; and 33 (80.5%) were men. The mean weight, height and body mass index (BMI) were 78.5 ± 18.61, 1.65 ± 0.08 and 28.93 ± 6.72 kg/m2, respectively; 14 (34.1%) patients were overweight and 16 (39%) patients were obese; 29 (70.7%) had sepsis. In 24 (58.5%) patients, the source of infection was pulmonary, 3 (7.3%) abdominal, and 2 (4.9%) urinary tract. Of the patients, 33 (80.5%) are classified as 1S and 1B. The uNGAL at admission had a mean of 451.36 ± 688.11. The sensitivity of KDIGO plus uNGAL was 67%, specificity 16%. The sensitivity of KDIGO plus NGAL was 75%, specificity 19%. The sensitivity of KDIGO plus uNGAL was 88%, specificity 25%. The percentage of mortality predicted by the SAPS 3 scale was 56.26 ± 23.7% and by the MPM III scale 43.94 ± 23.59. the observed mortality was 24 (58.5%); and the standardized mortality rate with SAPS 3 was 1.04, and with MPM III 1.33. Conclusions: the diagnostic performance of the new definition of acute kidney injury proposed was not good due to multiple factors, among the 2 most important, the preventive management of acute kidney injury that is currently provided to patients and the size of the sample. It is necessary to continue the study to achieve a representative sample of the population and to have an accurate conclusion about the diagnostic performance of the new proposed definition of acute kidney injury.


REFERENCES

  1. Novis BK, Roizen MF, Aronson S, Thisted RA. Association of preoperative risk factors with postoperative acute renal failure. Anesth Analg. 1994;78(1):143-149.

  2. Bellomo R, Kellum J, Ronco C. Acute renal failure: time for consensus. Intensive Care Med. 2001;27(11):1685-1688.

  3. Mehta RL, Chertow GM. Acute renal failure definitions and classification: time for change? J Am Soc Nephrol. 2003;14(8):2178-2187.

  4. Srisawat N, Hoste EE, Kellum JA. Modern classification of acute kidney injury. Blood Purif. 2010;29(3):300-307.

  5. Prendergast JS. The background of Galen's life and activities, and its influence on his achievements. Proc R Soc Med. 1930;23(8):1131-148.

  6. Eknoyan G. The origins of nephrology--Galen, the founding father of experimental renal physiology. Am J Nephrol. 1989;9(1):66-82.

  7. Eknoyan G. Emergence of the concept of acute renal failure. Am J Nephrol. 2002;22(2-3):225-230.

  8. Abercrombie J. Observations on Ischuria renalis. Edinb Med Surg J. 1821;17(67):210-222.

  9. Cameron JS. Bright's disease today: the pathogenesis and treatment of glomerulonephritis--I. Br Med J. 1972;4(5832):87-90.

  10. Dunn JS, McNeee J. A contribution to the study of war nephritis. Br Med J. 1917; 2(2971):745-751.

  11. Franklin AW. Acute renal failure related to traumatic injuries. In: Smith HW, Editor. The Kidney: structure and function in health and disease. New York: Oxford Univ. Press.1951, p. 752-813.

  12. Kellum JA, Mehta RL, Angus DC, Palevsky P, Ronco C; ADQI Workgroup. The first international consensus conference on continuous renal replacement therapy. Kidney Int. 2002;62(5):1855-1863.

  13. Bellomo R, Kellum JA, Mehta R, Palevsky PM, Ronco C. Acute Dialysis Quality Initiative II: the Vicenza conference. Curr Opin Crit Care. 2002;8(6):505-508.

  14. Bellomo R, Ronco C, Kellum JA, Mehta RL, Palevsky P. Acute Dialysis Quality Initiative workgroup. Acute renal failure - definition, outcome measures, animal models, fluid therapy and information technology needs: the Second International Consensus Conference of the Acute Dialysis Quality Initiative (ADQI) Group. Crit Care. 2004;8(4):R204-212.

  15. Mehta RL, Kellum JA, Shah SV, Molitoris BA, Ronco C, Warnock DG, Levin A. Acute Kidney Injury Network. Acute Kidney Injury Network: report of an initiative to improve outcomes in acute kidney injury. Crit Care. 2007;11(2):31.

  16. Kidney Disease: Improving Global Outcomes (KDIGO) Acute Kidney Injury Work Group. KDIGO Clinical Practice Guideline for Acute Kidney Injury. Kidney inter., Suppl. 2012;2:1-138.

  17. Fujii T, Uchino S, Takinami M, Bellomo R. Validation of the Kidney Disease Improving Global Outcomes criteria for AKI and comparison of three criteria in hospitalized patients. Clin J Am Soc Nephrol. 2014;9(5):848-854.

  18. Luo X, Jiang L, Du B, Wen Y, Wang M, Xi X. Acute Kidney Injury Trial (BAKIT) workgroup. A comparison of different diagnostic criteria of acute kidney injury in critically ill patients. Crit Care. 2014;18(4):144.

  19. Tsai TY, Chien H, Tsai FC, Pan HC, Yang HY, Lee SY, et al. Comparison of RIFLE, AKIN, and KDIGO classifications for assessing prognosis of patients on extracorporeal membrane oxygenation. J Formos Med Assoc. 2017;116(11):844-851.

  20. Koeze J, Keus F, Dieperink W, van der Horst IC, Zijlstra JG, van Meurs M. Incidence, timing and outcome of AKI in critically ill patients varies with the definition used and the addition of urine output criteria. BMC Nephrol. 2017;18(1):70.

  21. Huber W, Schneider J, Lahmer T, Küchle C, Jungwirth B, Schmid RM, et al. Validation of RIFLE, AKIN, and a modified AKIN definition ("backward classification") of acute kidney injury in a general ICU: analysis of a 1-year period. Medicine (Baltimore). 2018;97(38):

  22. Ratanarat R, Skulratanasak P, Tangkawattanakul N, Hantaweepant C. Clinical accuracy of RIFLE and Acute Kidney Injury Network (AKIN) criteria for predicting hospital mortality in critically ill patients with multi-organ dysfunction syndrome. J Med Assoc Thai. 2013;96(2):224-231.

  23. Lopes JA, Fernandes P, Jorge S, Goncalves S, Alvarez A, Costa e Silva Z, et al. Acute kidney injury in intensive care unit patients: a comparison between the RIFLE and the Acute Kidney Injury Network classifications. Crit Care. 2008;12(4):110.

  24. Levi TM, de Souza SP, de Magalhaes JG, de Carvalho MS, Cunha AL, Dantas JG, et al. Comparison of the RIFLE, AKIN and KDIGO criteria to predict mortality in critically ill patients. Rev Bras Ter Intensiva. 2013;25(4):290-296.

  25. Hoste EA, Kellum JA. Incidence, classification, and outcomes of acute kidney injury. Contrib Nephrol. 2007;156:32-38.

  26. Ricci Z, Cruz D, Ronco C. The RIFLE criteria and mortality in acute kidney injury: a systematic review. Kidney Int. 2008;73(5):538-546.

  27. Strimbu K, Tavel JA. What are biomarkers? Curr Opin HIV AIDS. 2010;5:463-466.

  28. Vanderlinde RE. Urinary enzyme measurements in the diagnosis of renal disorders. Ann Clin Lab Sci. 198;11(3):189-201.

  29. Thompson RE, Piper DJ, Kidd KA. A new diagnostic immunoassay for proximal tubule injury. Toxicol Pathol. 1986;14(2):232-237.

  30. Tolkoff-Rubin NE, Thompson RE, Piper DJ, Hansen WP, Bander NH, Cordon-Cardo C, et al. Diagnosis of renal proximal tubular injury by urinary immunoassay for a proximal tubular antigen, the adenosine deaminase binding protein. Nephrol Dial Transplant. 1987;2(3):143-148.

  31. Taira T, Yoshimura A, Ideura T, Koshikawa S. Clinical significance of urinary epidermal growth factor levels in patients with acute renal failure. Nephron. 1992;60(3):375.

  32. Taira T, Yoshimura A, Iizuka K, Inui K, Oshiden K, Iwasaki S, et al. Expression of epidermal growth factor and its receptor in rabbits with ischaemic acute renal failure. Virchows Arch. 1996;427(6):583-588.

  33. Peco-Anti A, Nasti-Miri D, Popovi-Rolovi M, Adanja G, Kosti M, Paripovi V. Endothelin-1 in acute renal failure. Ren Fail. 1996;18(4):553-556.

  34. Bonventre JV, Kelly KJ. Adhesion molecules and acute renal failure. Adv Nephrol Necker Hosp. 1996;25:159-176.

  35. Yamada H, Hishida A, Kato A, Yoneyama T. 1,5-anhydroglucitol as a marker for the differential diagnosis of acute and chronic renal failure. Nephron. 1996;73(4):707-709.

  36. Rabb H. Evaluation of urinary markers in acute renal failure. Curr Opin Nephrol Hypertens. 1998;7(6):681-685.

  37. Friedlaender MM, Fervenza FC, Tsao T, Hsu F, Rabkin R. The insulin-like growth factor-I axis in acute renal failure. Ren Fail. 1998;20(2):343-348.

  38. Stefanidis I, Frank D, Maurin N. Hemostasis activation markers in acute renal failure. Ren Fail. 1998;20(1):147-155.

  39. Libetta C, Rampino T, Esposito C, Fornoni A, Semeraro L, Dal Canton A. Stimulation of hepatocyte growth factor in human acute renal failure. Nephron. 1998;80(1):41-45.

  40. Mishra J, Ma Q, Prada A, Mitsnefes M, Zahedi K, Yang J, et al. Identification of neutrophil gelatinase-associated lipocalin as a novel early urinary biomarker for ischemic renal injury. J Am Soc Nephrol. 2003;14(10):2534-2543.

  41. Wen Y, Parikh CR. Current concepts and advances in biomarkers of acute kidney injury. Crit Rev Clin Lab Sci. 2021;58(5):354-368.

  42. Xie Y, Huang P, Zhang J, Tian R, Jin W, Xie H, et al. Biomarkers for the diagnosis of sepsis-associated acute kidney injury: systematic review and meta-analysis. Ann Palliat Med. 2021;10(4):4159-4173.

  43. Ostermann M, Zarbock A, Goldstein S, Kashani K, Macedo E, Murugan R, et al. Recommendations on acute kidney injury biomarkers from the acute disease quality initiative consensus conference: a consensus statement. JAMA Netw Open. 2020;3(10):e2019209.

  44. Buonafine M, Martinez-Martinez E, Jaisser F. More than a simple biomarker: the role of NGAL in cardiovascular and renal diseases. 2018;132(9):909-923.

  45. Shang W, Wang Z. The Update of NGAL in acute kidney injury. Curr Protein Pept Sci. 2017;18(12):1211-1217.

  46. Shoaib M, Mahmud SN, Safdar M. Early diagnosis of acute kidney injury by urinary neutrophil gelatinase associated lipocalin in adult critically ill patients. J Ayub Med Coll Abbottabad. 2019;31(1):12-15.

  47. Mahadevaiah M, Nidasale TMM, Sashank YV, Kumar J, Kumar R. Diagnostic relevance of neutrophil gelatinase-associated lipocalin in early detection of acute kidney injury. Journal of Emergency Practice and Trauma, 2021;7(2): 88-92.

  48. Haase-Fielitz A, Haase M, Devarajan P. Neutrophil gelatinase-associated lipocalin as a biomarker of acute kidney injury: a critical evaluation of current status. Ann Clin Biochem. 2014;51(Pt 3):335-351.

  49. Ostermann M. Diagnosis of acute kidney injury: Kidney Disease Improving Global Outcomes criteria and beyond. Curr Opin Crit Care. 2014;20:581-587.




Figure 1
Figure 2
Table 1
Table 2

2020     |     www.medigraphic.com

Mi perfil

C?MO CITAR (Vancouver)

Med Crit. 2023;37