medigraphic.com
SPANISH

Medicina Crítica

  • Contents
  • View Archive
  • Information
    • General Information        
    • Directory
  • Publish
    • Instructions for authors        
  • Policies
  • Lineamientos
  • medigraphic.com
    • Home
    • Journals index            
    • Register / Login
  • Mi perfil

2023, Number 7

<< Back Next >>

Med Crit 2023; 37 (7)

Risk factors associated with mortality of patients undergoing cardiac surgery

Castañeda OE, Trejo AA, Cerón DUW
Full text How to cite this article 10.35366/114856

DOI

DOI: 10.35366/114856
URL: https://dx.doi.org/10.35366/114856

Language: Spanish
References: 20
Page: 552-558
PDF size: 239.60 Kb.


Key words:

cardiac surgery, mortality, prognosis, lactate, troponin, hemodynamic factors.

ABSTRACT

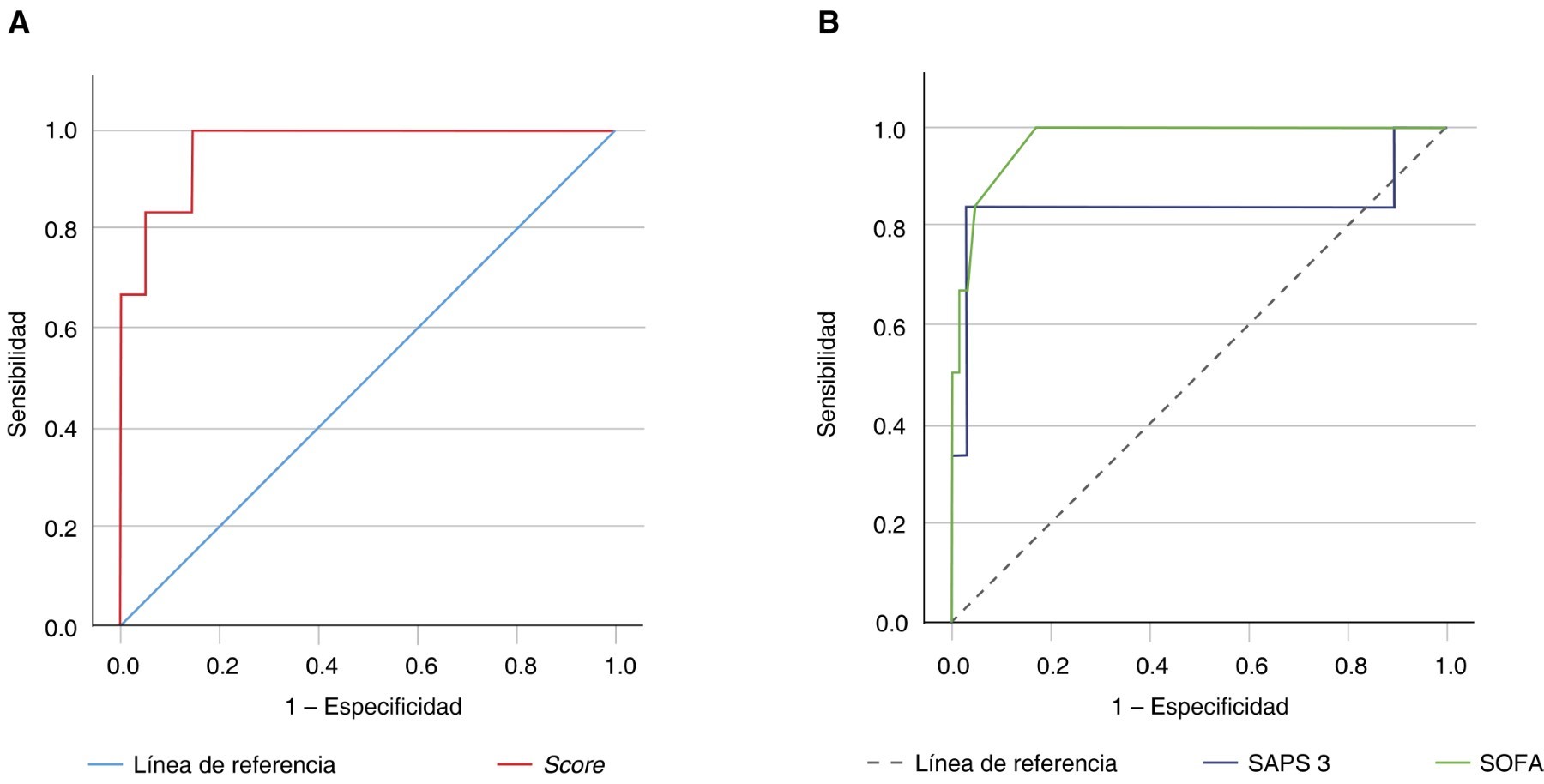
Introduction: cardiac diseases represent the leading cause of death. Despite advances in minimally invasive surgery and percutaneous procedures, cardiac surgery remain as an option in the most complex cases, even though it has a high probability of morbidity and mortality, and there are multiple preoperative, intraoperative and immediate postoperative factors associated with poor outcomes. Objective: to determine the factors associated with mortality in patients undergoing cardiac surgery and to construct a predictive model. Material and methods: a retrolective, cross-sectional, analytical study of patients admitted to the Intensive Care Unit (ICU) after cardiac surgery with extracorporeal circulation during January 1, 2017 to August 31, 2023. Results: data from 70 patients were analyzed, a mortality of 8.57% was determined, mean age 60.6 ± 11.5 years and 78.5% were male. The most frequent procedure was coronary revascularization surgery (64.3%). Univariate analysis showed association to mortality mainly with days of mechanical ventilation (0.12 vs 1.12, p = 0.01), days of in-hospital stay (13.82 vs 2.86, p = 0.01), cardiac power (0.87 vs 0.55, p = 0.01), beat volume index (55.8 vs 29.3, p = 0.001), lactate (2.25 vs 7.5, p ≤ 0.0001), troponin I (77.8 vs 1,381.1, p = 0.01), report of trans-operative complication (7.1% vs 50%, p = 0.001) and infusion of inotropes and vasopressors at admission (44.3% vs 100%, p = 0.015). A binary logistic regression showed that only lactate (OR 2.476, 95% CI [1.25-4.88]) and troponin I (OR 1.0, 95% CI [1.000-1.001]) have an independent association with mortality. A predictive model for mortality was developed and ROC analysis was performed with an AUR 0.969 [0.920-1.017]. Conclusions: there are different factors associated with mortality, in our case after logistic regression analysis only lactate and troponin I were independently associated. Our predictive model is simple and could be a tool to predict mortality on the initial approach.


REFERENCES

  1. Vaduganathan M, Mensah GA, Turco JV, Fuster V, Roth GA. The global burden of cardiovascular diseases and risk. J Am Coll Cardiol. 2022;80(25):2361-2371. doi: 10.1016/j.jacc.2022.11.005.

  2. Mertes PM, Kindo M, Amour J, Baufreton C, Camilleri L, Caus T, et al. Guidelines on enhanced recovery after cardiac surgery under cardiopulmonary bypass or off-pump. Anaesth Crit Care Pain Med. 2022;41(3):101059. doi: 10.1016/j.accpm.2022.101059.

  3. Kim KM, Arghami A, Habib R, Daneshmand MA, Parsons N, Elhalabi Z, et al. The society of thoracic surgeons adult cardiac surgery database: 2022 update on outcomes and research. Ann Thorac Surg. 2023;115(3):566-574. doi: 10.1016/j.athoracsur.2022.12.033.

  4. Rodríguez-Hernández A, García-Torres M, Bucio Reta E, Baranda-Tovar FM. Análisis de mortalidad y estancia hospitalaria en cirugía cardiaca en México 2015: datos del Instituto Nacional de Cardiología. Arch Cardiol Mex. 2018;88(5):397-402. doi: 10.1016/j.acmx.2017.11.004.

  5. Pittams AP, Iddawela S, Zaidi S, Tyson N, Harky A. Scoring systems for risk stratification in patients undergoing cardiac surgery. J Cardiothorac Vasc Anesth. 2022;36(4):1148-1156. doi: 10.1053/j.jvca.2021.03.005.

  6. Prins C, De Villiers Jonker I, Botes L, Smit FE. Cardiac surgery risk-stratification models. Cardiovasc J Afr. 2012;23(3):160-164. doi: 10.5830/cvja-2011-047.

  7. Rodríguez-Chávez LL, Figueroa-Solano J, Muñoz-Consuegra CE, Ávila-Vanzzini N, Kuri-Alfaro J. EuroSCORE subestima el riesgo de mortalidad en cirugía cardiaca valvular de población mexicana. Arch Cardiol Mex. 2017;87(1):18-25. doi: 10.1016/j.acmx.2016.07.001.

  8. Teniente-Valente R, González-Bravo FE, Chagolla-Santillán MA. Validación del modelo EuroSCORE en pacientes sometidos a cirugía cardiaca en el Hospital Regional de Alta Especialidad del Bajío. Rev Mex Cardiol. 2018;29(3):134-143.

  9. Chen L, Hong L, Ma A, Chen Y, Xiao Y, Jiang F, et al. Intraoperative venous congestion rather than hypotension is associated with acute adverse kidney events after cardiac surgery: a retrospective cohort study. Br J Anaesth. 2022;128(5):785-795. doi: 10.1016/j.bja.2022.01.032.

  10. Rong LQ, Rahouma M, Neuburger PJ, Arguelles G, Emerson J, Mauer E, et al. Use of pulmonary artery pulsatility index in cardiac surgery. J Cardiothorac Vasc Anesth. 2020;34(5):1220-1225. doi: 10.1053/j.jvca.2019.09.023.

  11. Devereaux PJ, Lamy A, Chan MTV, Allard RV, Lomivorotov VV, Landoni G, et al. High-sensitivity troponin I after cardiac surgery and 30-day mortality. N Engl J Med. 2022;386(9):827-836. doi: 10.1056/nejmoa2000803.

  12. Zante B, Reichenspurner H, Kubik M, Kluge S, Schefold JC, Pfortmueller CA. Base excess is superior to lactate-levels in prediction of ICU mortality after cardiac surgery. PLoS One. 2018;13(10):e0205309. doi: 10.1371/journal.pone.0205309.

  13. Govender P, Tosh W, Burt C, Falter F. Evaluation of increase in intraoperative lactate level as a predictor of outcome in adults after cardiac surgery. J Cardiothorac Vasc Anesth. 2020;34(4):877-884. doi: 10.1053/j.jvca.2019.10.039.

  14. Santos CA, Oliveira MA, Brandi AC, Botelho PH, Brandi Jde C, Santos MA, et al. Risk factors for mortality of patients undergoing coronary artery bypass graft surgery. Rev Bras Cir Cardiovasc. 2014;29(4):513-520. doi: 10.5935/1678-9741.20140073.

  15. Vahanian A, Beyersdorf F, Praz F, Milojevic M, Baldus S, Bauersachs J, et al. 2021 ESC/EACTS guidelines for the management of valvular heart disease. Eur Heart J. 2022;43(7):561-632. doi: 10.1093/eurheartj/ehab395.

  16. Rodríguez R, Tamayo E, Álvarez FJ, Castrodeza J, Lajo C, Flórez S. Presión venosa central, tiempo de recalentamiento y líquidos totales son factores postoperatorios de morbimortalidad en cirugía cardiaca. Rev Esp Anestesiol Reanim. 2008;55(10):605-609. doi: 10.1016/s0034-9356(08)70671-6.

  17. Clough RA. The effect of comorbid illness on mortality outcomes in cardiac surgery. Arch Surg. 2002;137(4):428. doi: 10.1001/archsurg.137.4.428.

  18. Gaudino MFL, Spadaccio C, Taggart DP. State-of-the-art coronary artery bypass grafting. Interv Cardiol Clin. 2019;8(2):173-198. doi: 10.1016/j.iccl.2018.11.007.

  19. Doenst T, Berretta P, Bonaros N, Savini C, Pitsis A, Wilbring M, et al. Aortic cross-clamp time correlates with mortality in the mini-mitral international registry. Eur J Cardiothorac Surg. 2023;63(6):ezad147. doi: 10.1093/ejcts/ezad147.

  20. Fincke R, Hochman JS, Lowe AM, Menon V, Slater JN, Webb JG, et al. Cardiac power is the strongest hemodynamic correlate of mortality in cardiogenic shock: A report from the SHOCK trial registry. J Am Coll Cardiol [Internet]. 2004;44(2):340-348. doi: 10.1016/j.jacc.2004.03.060.




Figure 1
Table 1
Table 2
Table 3

2020     |     www.medigraphic.com

Mi perfil

C?MO CITAR (Vancouver)

Med Crit. 2023;37