medigraphic.com
SPANISH

Revista Latinoamericana de Simulación Clínica

ISSN 2683-2348 (Electronic)
Federación Latinoamericana de Simulación Clínica y Seguridad del Paciente
  • Contents
  • View Archive
  • Information
    • General Information        
    • Directory
  • Publish
    • Instructions for authors        
    • Send manuscript
  • medigraphic.com
    • Home
    • Journals index            
    • Register / Login
  • Mi perfil

2021, Number 1

<< Back Next >>

Simulación Clínica 2021; 3 (1)

Creation and psychometric properties of a quality self-perception instrument for Latin American programs and clinical simulation centers

Machuca-Contreras F, Armijo-Rivera S, Díaz-Guio A, Nunes-de OS, Raúl HSN, Ballesteros-Mendoza I
Full text How to cite this article 10.35366/99863

DOI

DOI: 10.35366/99863
URL: https://dx.doi.org/10.35366/99863

Language: Spanish
References: 27
Page: 7-14
PDF size: 230.71 Kb.


Key words:

Self-evaluation programs, psychometrics, simulation training, professional education, certification.

ABSTRACT

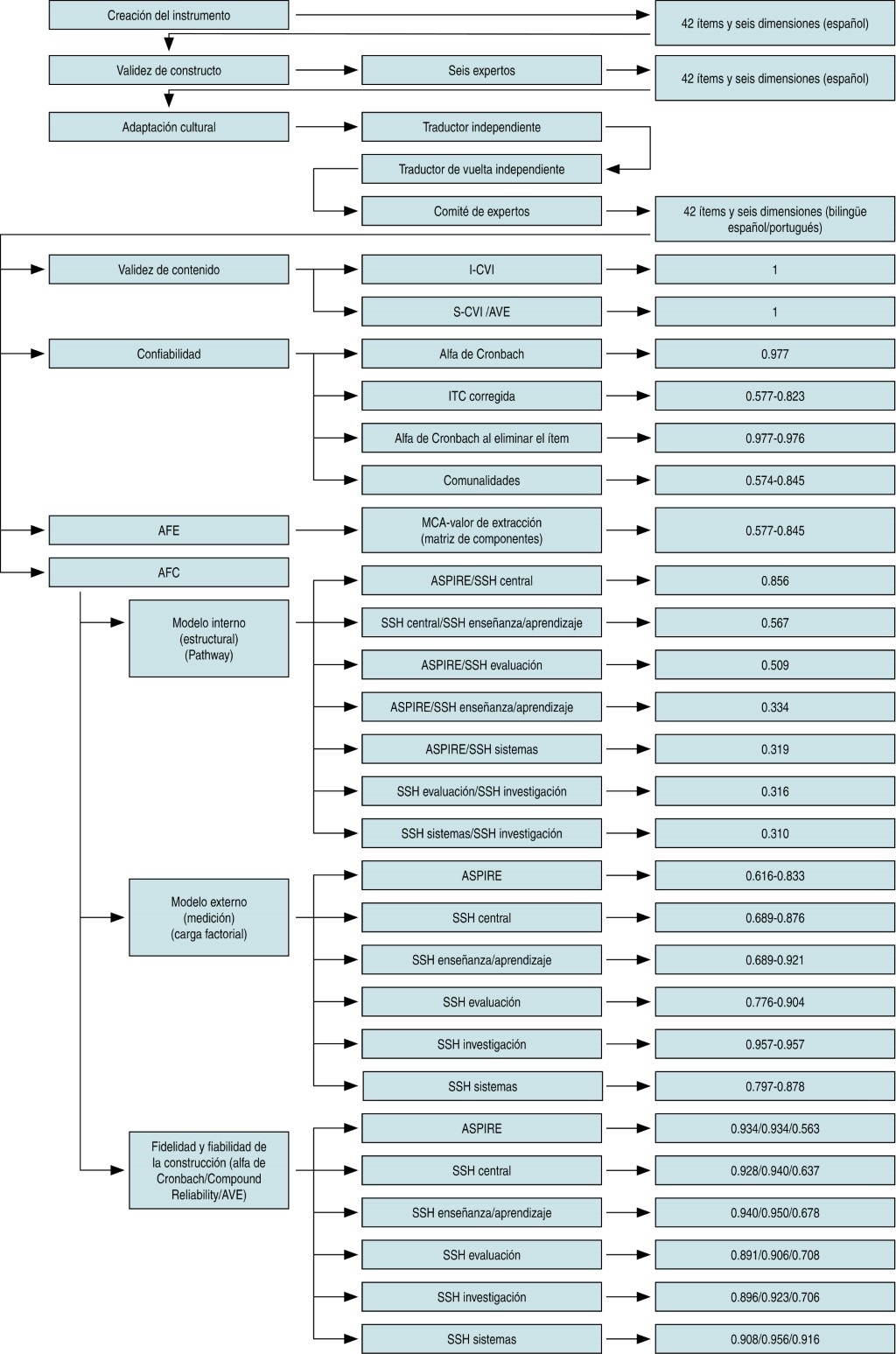
Introduction: To date, the quality of simulation centers in Latin America is unknown, and there is no validated instrument for this. The purpose of this study is to build a validated instrument for the self-perception of quality of simulation centers and programs in Latin American countries. Material and methods: Descriptive, transversal and quantitative study, with three sequential phases: development, reliability and validity. A quality self-perception instrument was developed in Spanish and culturally adapted to Portuguese, composed of six dimensions and 42 items. Results: 240 responses were obtained from 12 countries. Content validity was obtained (I-CVI: 1) and the consistency of the instrument (Cronbach's alpha: 0.977). Solid results were found in the exploratory factor analysis and in the confirmatory factor analysis. Conclusions: This bilingual instrument has good psychometric properties in all six dimensions and could be considered for future studies to characterize the quality self-perception of clinical simulation centers and programs in Spanish and Portuguese-speaking Latin American countries.


REFERENCES

  1. Motola I, Devine LA, Chung HS, Sullivan JE, Issenberg SB. Simulation in healthcare education: a best evidence practical guide. AMEE Guide No. 82. Med Teach. 2013; 35 (10): e1511-e1530. doi: 10.3109/0142159X.2013.818632.

  2. McGaghie WC, Issenberg SB, Cohen ER, Barsuk JH, Wayne DB. Does simulation-based medical education with deliberate practice yield better results than traditional clinical education? A meta-analytic comparative review of the evidence. Acad Med. 2011; 86 (6): 706-711. doi: 10.1097/ACM.0b013e318217e119.

  3. McGaghie WC, Issenberg SB, Barsuk JH, Wayne DB. A critical review of simulation-based mastery learning with translational outcomes. Med Educ. 2014; 48 (4): 375-385. doi: 10.1111/medu.12391.

  4. Cheng A, Grant V, Dieckmann P, Arora S, Robinson T, Eppich W. Faculty development for simulation programs: five issues for the future of debriefing training. Simul Healthc. 2015; 10 (4): 217-222. doi: 10.1097/SIH.0000000000000090.

  5. Natal B, Szyld D, Pasichow S, Bismilla Z, Pirie J, Cheng A; International Simulation Fellowship Training Investigators. simulation fellowship programs: an international survey of program directors. Acad Med. 2017; 92 (8): 1204-1211. doi: 10.1097/ACM.0000000000001668.

  6. Leighton K, Foisy-Doll C, Gilbert GE. Development and psychometric evaluation of the simulation culture organizational readiness survey. Nurse Educ. 2018; 43 (5): 251-255. doi: 10.1097/NNE.0000000000000504.

  7. Rampel T, Gross B, Zech A, Pruckner S. Simulation centres in German hospitals and their organisational aspects: expert survey on drivers and obstacles. GMS J Med Educ. 2018; 35 (3): Doc40. doi: 10.3205/zma001186.

  8. Sittner BJ, Aebersold ML, Paige JB, Graham LL, Schram AP, Decker SI, et al. INACSL standards of best practice for simulation: past, present, and future. Nurs Educ Perspect. 2015; 36 (5): 294-298. doi: 10.5480/15-1670.

  9. Lewis KL, Bohnert CA, Gammon WL, Holzer H, Lyman L, Smith C, et al. The Association of Standardized Patient Educators (ASPE) Standards of Best Practice (SOBP). Adv Simul (Lond). 2017; 2: 10. doi: 10.1186/s41077-017-0043-4.

  10. Society for Simulation in Healthcare & Council for Accreditation of Healthcare Simulation Programs. SSH Accreditation Process: Informational Guide for the Accreditation Process from the SSH Council for Accreditation of Healthcare Simulation Programs. 2017. Available in: https://www.ssih.org/Portals/48/Accreditation/SSH%20Accreditation%20Informational%20Guide.pdf?ver=2017-03-09-133118-517

  11. ASPIRE. Areas of excellence to be recognised. 2019. Available in: https://www.aspire-to-excellence.org/Areas+of+Excellence/

  12. Hunt D, Klamen D, Harden RM, Ali F. The ASPIRE-to-excellence program: a global effort to improve the quality of medical education. Acad Med. 2018; 93 (8): 1117-1119. doi: 10.1097/ACM.0000000000002099.

  13. Escudero EX, Fuentes CM, González MJO, Corvetto MA. Simulación en educación para ciencias de la salud: ¿Qué calidad hemos alcanzado en Chile? ARS Medica. 2016; 41 (3): 16-20.

  14. Price LR. Test development. In: Methodology in the social sciences. Psycometric methods: theory into practice. New York, USA: The Guilford Press; 2017b. pp. 165-202.

  15. Souza AC, Alexandre NMC, Guirardello EB. Psychometric properties in instruments evaluation of reliability and validity. Epidemiol Serv Saude. 2017; 26 (3): 649-659. doi: 10.5123/S1679-49742017000300022.

  16. Mokkink LB, Prinsen CA, Bouter LM, Vet HC, Terwee CB. The consensus-based standards for the selection of health measurement instruments (COSMIN) and how to select an outcome measurement instrument. Braz J Phys Ther. 2016; 20 (2): 105-113. doi: 10.1590/bjpt-rbf.2014.0143.

  17. Polit DF, Beck CT. The content validity index: are you sure you know what's being reported? Critique and recommendations. Res Nurs Health. 2006; 29 (5): 489-497. doi: 10.1002/nur.20147.

  18. Barrios M, Cosculluela A. Fiabilidad. En: Meneses J. Psicometría. Barcelona, España: Editorial UOC; 2013. pp. 75-140.

  19. English T, Keeley JW. Internal consistency approach to test construction. In: Cautin RL, Lilienfeld SO (Eds.). The encyclopedia of clinical psychology. Malden, MA: John Wiley and Sons, Inc.; 2015. pp. 1-3. https://doi.org/10.1002/9781118625392.wbecp156

  20. Price LR. Factor analysis. In: Methodology in the social sciences. Psycometric methods: theory into practice. New York, USA: The Guilford Press; 2017a. pp. 289-328.

  21. Hair Jr. JF, Hult GTM, Ringle CM, Sarstedt M. Assesing PLS-SEM results part I: evaluation of reflective measurement models. In: A primer on partial least squares structural equation modeling (PLS-SEM). 2nd. Los Angeles, USA: SAGE Publications, Inc.; 2017. pp. 104-136.

  22. Ringle C, Wende S, Becker JM. SmartPLS 3 (Version 3.2.8). 2015. Available in: http://www.smartpls.com

  23. Emanuel EJ, Wendler D, Grady C. What makes clinical research ethical? JAMA. 2000; 283 (20): 2701-2711. doi: 10.1001/jama.283.20.2701.

  24. Stocker M, Laine K, Ulmer F. Use of simulation-based medical training in Swiss pediatric hospitals: a national survey. BMC Med Educ. 2017; 17 (1): 104. doi: 10.1186/s12909-017-0940-1.

  25. Zhao Z, Niu P, Ji X, Sweet RM. State of simulation in healthcare education: an initial survey in Beijing. JSLS. 2017; 21 (1): e2016.00090. doi: 10.4293/JSLS.2016.00090.

  26. Bracq MS, Michinov E, Jannin P. Virtual reality simulation in nontechnical skills training for healthcare professionals: a systematic review. Simul Healthc. 2019; 14 (3): 188-194. doi: 10.1097/SIH.0000000000000347.

  27. Cook DA, Brydges R, Ginsburg S, Hatala R. A contemporary approach to validity arguments: a practical guide to Kane's framework. Med Educ. 2015; 49 (6): 560-575. doi: 10.1111/medu.12678.




Figure 1
Table 1

2020     |     www.medigraphic.com

Mi perfil

C?MO CITAR (Vancouver)

Simulación Clínica. 2021;3