medigraphic.com
ENGLISH

Cardiovascular and Metabolic Science

ISSN 2954-3835 (Digital)
ISSN 2683-2828 (Impreso)
Antes Revista Mexicana de Cardiología

Ver Revista Mexicana de Cardiología


  • Mostrar índice
  • Números disponibles
  • Información
    • Información general        
    • Directorio
  • Publicar
    • Instrucciones para autores        
    • Envío de artículos
  • medigraphic.com
    • Inicio
    • Índice de revistas            
    • Registro / Acceso
  • Mi perfil

2025, Número 3

<< Anterior Siguiente >>

Cardiovasc Metab Sci 2025; 36 (3)


Respuesta presora aguda tras una sesión de entrenamiento isométrico en adultos con hipertensión controlada

Cabezas-Gaete I, Donoso-Martínez N, Norambuena-Meza S, Russell-Guzmán J, Espinoza-Salinas A
Texto completo Cómo citar este artículo 10.35366/121368

DOI

DOI: 10.35366/121368
URL: https://dx.doi.org/10.35366/121368
Artículos similares

Idioma: Inglés [English version]
Referencias bibliográficas: 29
Paginas: 144-153
Archivo PDF: 523.14 Kb.


PALABRAS CLAVE

fuerza de prensión manual, hipertensión arterial, entrenamiento de resistencia isométrica, ejercicio, presión arterial.

RESUMEN

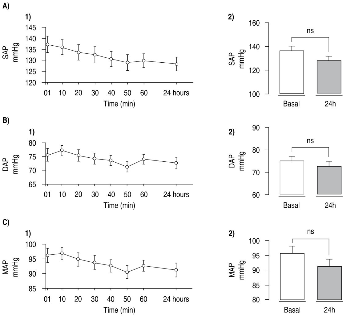
Introducción: la hipertensión es el principal factor de riesgo de las enfermedades cardiovasculares y tiene una elevada prevalencia mundial. Su tratamiento incluye actividad física, ejercicio y cambios en el estilo de vida. El entrenamiento de fuerza isométrica de prensión manual ha demostrado reducciones significativas de la presión arterial a largo plazo. Sin embargo, conocer su efecto agudo resulta clave para comprender los efectos y eficacia inmediata, aunque ha sido escasamente estudiado. Objetivo: evaluar la respuesta de la presión arterial tras una única sesión de entrenamiento de resistencia isométrica en adultos con hipertensión e hipertensión combinada con resistencia a la insulina. Material y métodos: participaron treinta adultos mayores del programa Más Adultos Mayores Autosuficientes (AMA) en Paine, Chile. Se dividieron en dos grupos: 20 con hipertensión pura (G-HTN) y 10 con hipertensión y resistencia a la insulina (G-HTN/IR). Ambos grupos realizaron una sesión de cuatro contracciones isométricas de dos minutos de duración cada una al 30% de su fuerza máxima, con intervalos de descanso de dos minutos entre cada contracción. Se midió la presión arterial después de la intervención durante una hora y de nuevo al cabo de 24 horas. Resultados: se encontraron diferencias significativas en la presión arterial sistólica (PAS) entre los grupos en los minutos uno y veinte, mientras que la presión arterial diastólica (PAD) y la presión arterial media (PAM) no mostraron diferencias significativas. Ambos grupos mostraron reducciones de la PAS y la PAM, con descensos de −8.21 mmHg (PAS) y −4.49 mmHg (PAM) en G-HTN, y de −11.3 mmHg (PAS) y −1.43 mmHg (PAM) en G-HTN/IR. Conclusión: el entrenamiento isométrico reduce la PAS y PAM. Si bien se observa un aumento transitorio de la PAS inmediatamente posterior a la intervención, este efecto es seguido por una reducción significativa a las 24 horas.


REFERENCIAS (EN ESTE ARTÍCULO)

  1. De Oliveira PC, Lehnen AM, Waclawovsky G. Effect of isometric exercise on blood pressure in prehypertensive and hypertensive individuals: protocol for a systematic review and meta-analysis of randomized controlled trials. Syst Rev. 2022; 11 (1): 100. doi: 10.1186/s13643-022-01974-9.

  2. Magid-Bernstein J, Girard R, Polster S, Srinath A, Romanos S, Awad IA et al. Cerebral hemorrhage: pathophysiology, treatment, and future directions. Circ Res. 2022; 130 (8): 1204-1229. doi: 10.1161/CIRCRESAHA.121.319949.

  3. Rickson JJ, Maris SA, Headley SAE. Isometric exercise training: a review of hypothesized mechanisms and protocol application in persons with hypertension. Int J Exerc Sci. 2021; 14 (2): 1261-1276. doi: 10.70252/KUHM5244.

  4. Meseguer Zafra M, Rosa Guillamón A, García-Cantó E, Rodríguez García PL, Pérez-Soto JJ, Tárraga López PJ et al. Influencia de un programa de ejercicio físico terapéutico en diferentes indicadores clínicos relacionados con la dislipidemia en sujetos adultos de 26 a 73 años con algún factor de riesgo cardiovascular. Hipertens Riesgo Vasc. 2019; 36 (1): 21-27. doi: 10.1016/j.hipert.2018.02.001.

  5. Pescatello LS, Buchner DM, Jakicic JM, Powell KE, Kraus WE, Bloodgood B et al. Physical activity to prevent and treat hypertension: a systematic review. Med Sci Sports Exerc. 2019; 51 (6): 1314-1323. doi: 10.1249/MSS.0000000000001943.

  6. Kraus WE, Powell KE, Haskell WL, Janz KF, Campbell WW, Jakicic JM et al. Physical activity, all-cause and cardiovascular mortality, and cardiovascular disease. Med Sci Sports Exerc. 2019; 51 (6): 1270-1281. doi: 10.1249/MSS.0000000000001939.

  7. Schroeder EC, Franke WD, Sharp RL, Lee DC. Comparative effectiveness of aerobic, resistance, and combined training on cardiovascular disease risk factors: a randomized controlled trial. PLoS One. 2019; 14(1): e0210292. doi: 10.1371/journal.pone.0210292.

  8. Nemoto Y, Satoh T, Takahashi T, Hattori T, Konno S, Suzuki S et al. Effects of isometric handgrip training on home blood pressure measurements in hypertensive patients: a randomized crossover study. Intern Med. 2021; 60 (14): 2181-2188. doi: 10.2169/internalmedicine.5865-20.

  9. Cohen DD, Aroca-Martinez G, Carreño-Robayo J, Castañeda-Hernández A, Herazo-Beltran Y, Camacho PA et al. Reductions in systolic blood pressure achieved by hypertensives with three isometric training sessions per week are maintained with a single session per week. J Clin Hypertens. 2023; 25 (4): 380-387. doi: 10.1111/jch.14621.

  10. Decaux A, Edwards JJ, Swift HT, Hurst P, Hopkins J, Wiles JD et al. Blood pressure and cardiac autonomic adaptations to isometric exercise training: a randomized sham-controlled study. Physiol Rep. 2022; 10 (2): e15112. doi: 10.14814/phy2.15112.

  11. Smart NA, Gow J, Bleile B, Van der Touw T, Pearson MJ. An evidence-based analysis of managing hypertension with isometric resistance exercise-are the guidelines current? Hypertens Res. 2020; 43 (4): 249-254. doi: 10.1038/s41440-019-0360-1.

  12. Loaiza-Betancur AF, Chulvi-Medrano I. Is low-intensity isometric handgrip exercise an efficient alternative in lifestyle blood pressure management? A systematic review. Sports Health. 2020; 12 (5): 470-477. doi: 10.1177/1941738120943882.

  13. Fiuza-Luces C, Garatachea N, Berger NA, Lucia A. Exercise is the real polypill. Physiology. 2013; 28 (5): 330-358. doi: 10.1152/physiol.00019.2013.

  14. Varkey B. Principles of clinical ethics and their application to practice. Med Princ Pract. 2021; 30 (1): 17-28. doi: 10.1159/000509119.

  15. López R, Vega P. Consentimiento informado en Medicina Práctica clínica e investigación biomédica. Rev Chil Cardiol. 2017; 36: 57-66.

  16. Takahashi H, Yoshika M, Yokoi T. Validation of three automatic devices for the self-measurement of blood pressure according to the European Society of Hypertension International Protocol revision 2010: the Omron HEM-7130, HEM-7320F, and HEM-7500F. Blood Press Monit. 2015; 20 (2): 92-97. doi: 10.1097/MBP.0000000000000096.

  17. Díaz-Muñoz GA, Callejas-Martínez P, Cuesta-Malagón V. Concordancia-conformidad entre los dinamómetros de mano Camry y Jamar en adultos. Rev Nutr Clin Metab. 2018; 1 (1): 35-41. doi: 10.35454/rncm.v1n1.075.

  18. Boadella JM, Kuijer PP, Sluiter JK, Frings-Dresen MH. Effect of self-selected handgrip position on maximal handgrip strength. Arch Phys Med Rehabil. 2005; 86 (2): 328-331. doi: 10.1016/j.apmr.2004.05.003.

  19. Andrade H. Bioestadística aplicada a ciencias de la salud. Fundación Gustavo Palma Calderón; 2019.

  20. Wiles JD, Taylor K, Coleman D, Sharma R, O'Driscoll JM. The safety of isometric exercise: rethinking the exercise prescription paradigm for those with stage 1 hypertension. Medicine (Baltimore). 2018; 97 (10): e10105. doi: 10.1097/MD.0000000000010105.

  21. Farah BQ, Rodrigues SLC, Silva GO, Pedrosa RP, Correia MA, Barros MVG et al. Supervised, but not home-based, isometric training improves brachial and central blood pressure in medicated hypertensive patients: a randomized controlled trial. Front Physiol. 2018; 9: 961. doi: 10.3389/fphys.2018.00961.

  22. Almeida JPA de S, Bessa M, Lopes LTP, Goncalves A, Roever L, Zanetti HR. Isometric handgrip exercise training reduces resting systolic blood pressure but does not interfere with diastolic blood pressure and heart rate variability in hypertensive subjects: a systematic review and meta-analysis of randomized clinical trials. Hypertens Res. 2021; 44 (9): 1205-1212. doi: 10.1038/s41440-021-00681-7.

  23. Palau P, Seller J, Domínguez E, Sastre C, Ramón JM, de La Espriella R et al. Effect of β-blocker withdrawal on functional capacity in heart failure and preserved ejection fraction. J Am Coll Cardiol. 2021; 78 (21): 2042-2056. doi: 10.1016/j.jacc.2021.08.073.

  24. Halliwill JR, Buck TM, Lacewell AN, Romero SA. Postexercise hypotension and sustained postexercise vasodilatation: what happens after we exercise? Exp Physiol. 2013; 98 (1): 7-18. doi: 10.1113/expphysiol.2011.058065.

  25. Taylor KA, Wiles JD, Coleman DD, Sharma R, O'Driscoll JM. Continuous cardiac autonomic and hemodynamic responses to isometric exercise. Med Sci Sports Exerc. 2017; 49 (8): 1511-1519. doi: 10.1249/MSS.0000000000001271.

  26. Edwards JJ, Coleman DA, Ritti-Dias RM, Farah BQ, Stensel DJ, Lucas SJE et al. Isometric exercise training and arterial hypertension: an updated review. Sports Med. 2024; 54 (6): 1459-1497. doi: 10.1007/s40279-024-02036-x.

  27. Iellamo F, Pizzinelli P, Massaro M, Raimondi G, Peruzzi G, Legramante JM. Muscle metaboreflex contribution to sinus node regulation during static exercise: insights from spectral analysis of heart rate variability. Circulation. 1999; 100 (1): 27-32.

  28. Naci H, Salcher-Konrad M, Dias S, Blum MR, Sahoo SA, Nunan D et al. How does exercise treatment compare with antihypertensive medications? A network meta-analysis of 391 randomised controlled trials assessing exercise and medication effects on systolic blood pressure. Br J Sports Med. 2019; 53 (14): 859-869. doi: 10.1136/bjsports-2018-099921.

  29. Espinoza-Salinas A, González-Jurado J, Arenas-Sanchez G, Fuentealba-Sepúlveda S, Cabezas-Gaete I, Bobadilla-Olivares M et al. Effect of autonomic responses after isometric training at different intensities on obese people. Curr Hypertens Rev. 2019; 16 (3): 229-237. doi: 10.2174/1573402115666191112123722.




Figura 1
Figura 2
Figura 3
Figura 4
Tabla 1
Tabla 2
Tabla 3

2020     |     www.medigraphic.com

Mi perfil

C?MO CITAR (Vancouver)

Cardiovasc Metab Sci . 2025;36

ARTíCULOS SIMILARES

CARGANDO ...