medigraphic.com
SPANISH

Revista Latinoamericana de Simulación Clínica

ISSN 2683-2348 (Electronic)
Federación Latinoamericana de Simulación Clínica y Seguridad del Paciente
  • Contents
  • View Archive
  • Information
    • General Information        
    • Directory
  • Publish
    • Instructions for authors        
    • Send manuscript
  • medigraphic.com
    • Home
    • Journals index            
    • Register / Login
  • Mi perfil

2023, Number 1

<< Back Next >>

Simulación Clínica 2023; 5 (1)

Survey about number of participants in different simulation activities in Latin America

Fraga-Sastrías JM, Zamorano-Torres CF, Olvera-Cortés HE
Full text How to cite this article 10.35366/110986

DOI

DOI: 10.35366/110986
URL: https://dx.doi.org/10.35366/110986

Language: Spanish
References: 13
Page: 19-29
PDF size: 286.31 Kb.


Key words:

simulation, participants, simulation spaces, debriefing.

ABSTRACT

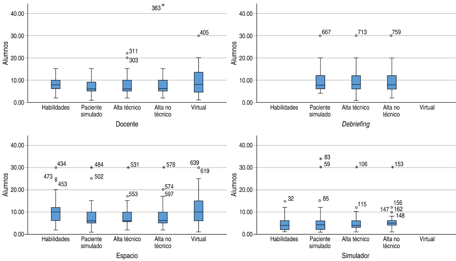
Introduction: there is limited evidence about recommendations on the appropriate number of participants in clinical simulation. With this study we distributed a survey among experts in clinical simulation in Latin America with the objective of identifying the number of participants associated with each type of simulation activity within their simulation centers. Objective: identify, according to experts practice in Latinoamérica, the number of participants according to types of simulation. Material and methods: between April and July 2022 the survey, obtaining answers from 50 (5.26%) simulation experts who were surveyed about the number of participants in clinical simulation and different aspects of it. We performed a descriptive analysis using non-parametric tests to assess and report the data. We also inquired for reasons to increase or reduce the number of participants and realized a bottom-up qualitative analysis to report the results. Results: even there were some outliers, most respondents (95%) referred relations of 18 participants or less for simulation activities. There were reasons to modify these relations that we classified in external (eg. sanitary restrictions), related to the didactical process and not related to the educational process (eg. economic). Conclusions: according to the surveyed 18 or less participants for each simulation activity could be used as a base for educational planning, reducing the number in more complex activities and being able to increase when enough resources are available or when the educational results require a major number of participants.


REFERENCES

  1. Motola I, Devine LA, Chung HS, Sullivan JE, Issenberg SB. Simulation in healthcare education: A best evidence practical guide. AMEE Guide No. 82. Med Teach. 2013; 35 (10): e1511-1530.

  2. Sánchez AE, López SLH. Simulación y aprendizaje centrado en el paciente. Inv Ed Med. 2019; (31): 114-115.

  3. Gaba DM. The future vision of simulation in health care. Qual Saf Health Care. 2004; 13 (Suppl. 1): i2-10.

  4. Bienstock J, Heuer A. A review on the evolution of simulation-based training to help build a safer future. Medicine (Baltimore). 2022; 101 (25): e29503.

  5. Steinwachs B. How to facilitate a debriefing. Simul Gaming. 1992; 23 (2): 186-196.

  6. Gordon RM. Debriefing virtual simulation using an online conferencing platform: lessons learned. Clin Simul Nurs. 2017; 13 (12): 668-674.

  7. INACSL Standards of best practice: simulationSM simulation design. Clin Simul Nurs. 2016; 12: S5-12.

  8. Pediatric advanced life support: provider manual. Dallas: American Heart Association; 2020.

  9. Basic life support: provider manual. Dallas, Texas: American Heart Association; 2020.

  10. Advanced cardiovascular life support: provider manual. Dallas, TX: American Heart Association; 2020.

  11. Anton N, Calhoun AC, Stefanidis D. Current research priorities in healthcare simulation: results of a delphi survey. Simul Healthc. 2022; 17 (1): e1-e7.

  12. Armijo-Rivera S, Machuca-Contreras F, Raul N, de Oliveira SN, Mendoza IB, Miyasato HS, et al. Characterization of simulation centers and programs in Latin America according to the ASPIRE and SSH quality criteria. Adv Simul. 2021; 6 (1): 41.

  13. Al-Ghareeb AZ, Cooper SJ. Barriers and enablers to the use of high-fidelity patient simulation manikins in nurse education: an integrative review. Nurse Educ Today. 2016; 36: 281-286.




Figure 1
Table 1
Table 2
Table 3
Table 4

2020     |     www.medigraphic.com

Mi perfil

C?MO CITAR (Vancouver)

Simulación Clínica. 2023;5