medigraphic.com
SPANISH

Cirugía Cardiaca en México

ISSN 2448-5640 (Print)
Diario Oficial de la Sociedad Mexicana de Cirugía Cardiaca, A.C., y del Colegio Mexicano de Cirugía Cardiovascular y Torácica, A.C.
  • Contents
  • View Archive
  • Information
    • General Information        
    • Directory
  • Publish
    • Instructions for authors        
    • Send manuscript
  • medigraphic.com
    • Home
    • Journals index            
    • Register / Login
  • Mi perfil

2025, Number 2

<< Back Next >>

Cir Card Mex 2025; 10 (2)

Left ventricular adaptive response in mechanical versus biological valves

Marmolejo-Rivera, Rigoberto1; Ramírez-González, Bertín1; Lozoya-Meza, Ramón H1; Jiménez-González, Reynaldo J1; García-Villarreal, Ovidio A2; Vázquez-González, Roberto M1; de Lara-Villalpando, Jesús1
Full text How to cite this article 10.35366/119668

DOI

DOI: 10.35366/119668
URL: https://dx.doi.org/10.35366/119668

Language: English
References: 8
Page: 35-41
PDF size: 696.83 Kb.


Key words:

aortic valve, aortic valve stenosis, left ventricle, surgical aortic valve replacement.

ABSTRACT

Introduction: the most common valve pathology is severe aortic stenosis, with a prevalence of 3.9% in people in the age range of 70 to 79 years whose treatment of choice is aortic valve replacement, myocardial hypertrophy acts as a compensatory response of the left ventricle, resulting in increased wall thickness. Aortic valve replacement can reverse this hypertrophy and improve survival. Objective: to compare left ventricular adaptive response after aortic valve replacement surgery for severe aortic valve stenosis between mechanical vs biological prosthesis. Material and methods: in this observational, cross-sectional comparative and retrospective study. Patients were included from January 2019 to February 2023, with a diagnosis of severe aortic stenosis undergoing aortic valve replacement, with measurement of the adaptive response of the left ventricle, through pre- and post-surgical echocardiographic measurements. Results: in the biological valve replacement, an improvement in the left ventricular ejection fraction of 12.41%, a decrease in left ventricular mass of 81.09 grams was observed, for the mechanical valve an improvement in the left ventricular ejection fraction of 9.13%, a decrease in left ventricular mass of 72.82 grams (p < 0.0001). Conclusions: the left ventricular adaptive response after aortic valve replacement surgery for severe aortic valve stenosis in biological and mechanical prosthesis is statistically significant. There is a greater tendency towards reduction of myocardial mass in the left ventricle with biological prostheses.



ABBREVIATIONS:

  • AS = aortic stenosis
  • LVEF = left ventricular ejection fraction
  • NYHA = New York Heart Association
  • PASP = pulmonary arterial systolic pressure



INTRODUCTION

Aortic valve replacement is a crucial intervention for patients who suffer from severe aortic stenosis, a condition that significantly affects heart function. Choosing between biological and mechanical prostheses in this surgery is not a simple decision; in fact, it is a complex medical dilemma that requires careful consideration. The adaptive response of the left ventricle after surgery should be assessed for differences in adaptation between biological and mechanical prostheses, which allows us to raise fundamental questions about the long-term quality of life and continued cardiac health of patients. To date, there are few studies of left ventricular adaptive response that support the choice of valve type to be implanted according to the age, sex, and characteristics of the patients.

The prevalence reported in aortic stenosis (AS) guidelines has been 0.2% between 50 and 59 years, 1.3% between 60 and 69 years, 3.9% between 70 and 79 years, and 9.8% between 80 and 89 years. In severe AS, the rate of progression to symptoms is high, with an event-free survival rate of only 30 to 50% at 2 years. In moderate AS, the mean annual rate of progression is an increase in velocity of 0.3 m/s, an increase in the mean pressure gradient of 7 mmHg, and a decrease in valve area of 0.1 cm2, leading to left ventricular hypertrophy. In daily practice, the choice of valve replacement treatment is between biological or mechanical prosthesis and the choice should be made as individually as possible, taking into account the decision and activities of the patient.1



MATERIAL AND METHODS

We conducted an observational, cross-sectional, comparative and retrospective study where the population included patients with severe AS undergoing valve replacement during the period from January 2019 to February 2023, also the inclusion criteria encompassed patients with severe AS without associated ischemic heart disease and patients with complete medical records, pre- and post-operative echocardiography studies. Patients whose records were incomplete, had associated ischemic heart disease or did not have pre- and post-operative echocardiography studies were excluded.

To conduct this research study, data were collected from patients who underwent aortic valve implantation in the adult cardiac surgery service of our institution. The source of information was taken from the clinical record from which the clinical history, preoperative note, post-operative note, and pre- and post-surgical echocardiographic reports were obtained in the period from January 2019 to February 2023.

Through the observation technique, data were collected on the clinical and demographic profile: aortic valve replacement (mechanical or biological valve), echocardiographic record, percentage of myocardial mass, ejection fraction by Simpson method, pulmonary arterial systolic pressure (PASP), New York Heart Association (NYHA) functional class, EuroSCORE II, post-operative complications, age, sex, systemic arterial hypertension, diabetes and smoking.

The study was divided into two groups, response adaptive in patients with biological valve implantation and patients with mechanical valve implantation, the data were transcribed through the collection instrument and its subsequent analysis. Within the analysis, the main objective was to analyze which type of valve has a better adaptive response of the left ventricle. Through the statistical analysis of central tendency measures, frequencies, percentages and for comparison of adaptive response, the Mann Whitney U test or Student T test was used (pre- and post-surgical measurement) according to the normal distribution of related samples. Statistical significance was considered with p ≤ 0.05 using the SPSS 22 statistical package.



RESULTS

The study cohort consisted of 45 patients who fulfilled the inclusion criteria, with a gender distribution of 53.3% males (n = 24) and 46.7% females (n = 21). The overall mean age was 58 years, with notable differences between biological (68 years) and mechanical (48 years) valve recipients. Analysis of preoperative NYHA functional classification revealed a predominance of class III patients (53.3%, n = 24), followed by class II (42.2%, n = 19) and class IV (4.4%, n = 2). Preoperative PASP evaluations showed that 44.4% (n = 20) of patients were not at risk for pulmonary hypertension, while 37.8% (n = 17) were at mild risk and 6.7% (n = 3) were at high risk. Comorbidities were common, with hypertension (62.2%, n = 28), diabetes mellitus (37.8%, n = 17), and smoking (26.7%, n = 12) being prevalent. Postoperative complications were infrequent, with chest bleeding and arrhythmias occurring in 4.4% (n = 2) of patients each (Table 1).

The study compared mechanical and biological valve recipients, yielding the following results: sex distribution was similar between the two groups, with biological valve patients comprising 45.5% males (n = 10) and 54.5% females (n = 12), and mechanical valve patients consisting of 60.9% males (n = 14) and 39.1% females (n = 9). Statistical analysis revealed no significant difference in sex distribution between the groups (p = 0.300). Analysis of preoperative NYHA functional classification showed significant differences between biological and mechanical valve recipients. Biological valve patients were primarily classified as class II (54.5%, n = 12), whereas mechanical valve patients were mostly categorized as class III (69.6%, n = 16). This indicates that mechanical valve recipients had a higher presurgical risk profile, approaching statistical significance (p = 0.051) (Table 2). Evaluation of EuroSCORE II revealed that most patients were categorized as low-risk, with a predominance of biological valve patients (81.8%, n = 18) and mechanical valve patients (69.6%, n = 16). High-risk patients were relatively rare, accounting for 9.1% (n = 2) of biological valve recipients and 4.3% (n = 1) of mechanical valve recipients. Statistical analysis showed no significant difference in risk distribution between the groups (p = 0.297). Preoperative PASP assessments revealed distinct differences in pulmonary hypertension risk between biological and mechanical valve patients. Biological valve patients showed a higher proportion without risk for pulmonary hypertension (54.5%, n = 12), whereas mechanical valve patients had a lower proportion (34.8%, n = 8). Conversely, mechanical valve patients had a higher proportion with high-risk PASP (13%, n = 3), compared to none in the biological valve group. Mild risk was observed in 45.5% (n = 10) of biological valve patients and 30.4% (n = 7) of mechanical valve patients. This difference in risk profile was statistically significant (p = 0.025), indicating a lower risk of pulmonary hypertension in biological valve patients compared to mechanical valve patients (Table 2). Analysis of comorbidities revealed distinct trends between biological and mechanical valve patients. A higher proportion of biological valve patients (72.7%, n = 16) had systemic arterial hypertension, but this difference did not achieve statistical significance (p = 0.155). Biological valve patients also had a higher prevalence of diabetes mellitus (45%, n = 10), although this difference was non-significant (p = 0.299). No significant difference in smoking prevalence was observed between the groups, with 27.3% (n = 6) of biological valve patients and 26.1% (n = 6) of mechanical valve patients reporting smoking habits. Postoperative complications were relatively rare, with the majority of patients experiencing no adverse events. Specifically, 90.9% (n = 20) of biological valve patients and 91.3% (n = 21) of mechanical valve patients did not present any post-surgical complications. Bleeding occurred in 4.5% (n = 1) of biological valve patients and 4.3% (n = 1) of mechanical valve patients, while arrhythmias were observed in 4.5% (n = 1) and 4.3% (n = 1) of biological and mechanical valve patients, respectively. Statistical analysis confirmed no significant difference in post-operative complication rates between the groups (p = 0.999). The statistical analysis yielded a p-value greater than 0.005%, indicating a lack of statistically significant differences between the studied populations. This finding suggests that the biological and mechanical valve groups share similarities, enabling comparative analysis between the two (Table 2).

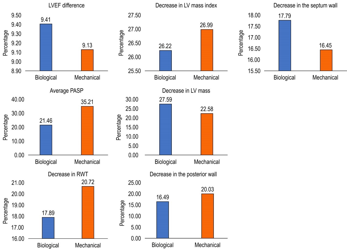
Pre- and post-operative comparison in 22 biological prosthesis patients demonstrated substantial improvements in left ventricular function and remodeling. Statistically significant changes included: LVEF increase: 12.41% (p < 0.0001), left ventricular mass reduction: 81.09 grams (p < 0.0001), left ventricular mass index decrease: 47.63 g/m2 (p < 0.0001), relative wall thickness decrease: 0.11 mm (p < 0.0001), septum wall thickness reduction: 2.72 mm (p < 0.0001), posterior wall thickness decrease: 1.29 mm (p < 0.0001), and PASP decrease: 8.59 mmHg (p < 0.0001). These results suggest a beneficial adaptive response of the left ventricle, with enhanced ejection fraction and decreased pulmonary hypertension risk (Table 3).

A pre- and post-operative comparison in 23 patients with mechanical valves revealed significant improvements in left ventricular function and structure. Notably, the following statistically significant changes were observed: LVEF increase: 9.13% (p < 0.000), left ventricular mass reduction: 72.82 grams (p < 0.000), left ventricular mass index decrease: 50 g/m2 (p < 0.000), relative wall thickness decrease: 0.11 (p < 0.000), septum wall thickness reduction: 2.36 mm (p < 0.000), posterior wall thickness decrease: 3.08 mm (p < 0.000), PASP decrease: 17.39 mmHg (p < 0.000). These findings indicate a favorable adaptive response of the left ventricle, characterized by improved ejection fraction and reduced risk of pulmonary hypertension (Table 4).

A comparative analysis of myocardial remodeling and functional variables between biological and mechanical valves revealed distinct differences in the magnitude of improvement. Notably, biological valves showed a greater tendency towards reduced left ventricular mass, with a 5.01% difference (p = 0.324), although this did not reach statistical significance. In contrast, mechanical valves demonstrated a greater percentage decrease in: relative wall thickness: 2.93% (p = 0.464), and posterior wall thickness: 3.54% (p = 0.464). Notably, mechanical valves exhibited a significantly greater decrease in PASP (13.75%, p = 0.006), indicating a more pronounced improvement in pulmonary hypertension. Although these differences suggest distinct adaptive responses between valve types, they did not reach statistical significance (p > 0.05) (Table 5).

Analysis of myocardial remodeling by sex revealed trends towards sex-specific differences. Compared to men, women showed greater reduction in left ventricular mass: 8.82% (p = 0.079), greater decrease in left ventricular mass index: 7.07% (p = 0.144), and greater reduction in posterior wall thickness: 4.21% (p = 0.296). In contrast, men exhibited a greater decrease in PASP: 8.07% (p = 0.111). While these differences did not achieve statistical significance, they suggest potential sex-based variations in myocardial remodeling (Table 6).

Main differences between both groups are represented in Figure 1.



DISCUSSION

Aortic stenosis (AS) is the most prevalent cause of left ventricular outflow obstruction, primarily resulting from congenitally abnormal valves, calcified trileaflet valves, or rheumatic valvular disease characterized by commissural fusion and reduced central orifice area.1 This valvular area decreases triggers pressure overload, leading to hypertrophy and increased wall stress without compromising systolic function until advanced disease stages.2 Aortic valve replacement significantly improves survival, supporting its recommendation.3 Surgical replacement alleviates left ventricular overload, prompting rapid remodeling visible in echocardiographic studies4 and enhancing ejection fraction.5 After the procedure, left ventricular mass (measured in grams per square meter, g/m2) tends to normalize, potentially positively impacting long-term prognosis.6 Notably, our study's average age (58 years) was lower than reported in literature. Current heart valve disease guidelines indicate AS prevalence as 0.2% (50-59 years), 1.3% (60-69 years), 3.9% (70-79 years), and 9.8% (80-89 years), respectively. Mortality rates significantly increase with cardiac symptom onset. Even mild symptoms necessitate immediate intervention, given the median survival without valve replacement is merely two to three years, with high risk of sudden death.1 Therefore, aortic valve replacement remains the only proven treatment altering the disease's natural course. This study investigated the adaptive response of the left ventricle in patients with severe AS undergoing aortic valve replacement with either biological or mechanical valves through surgical intervention. A comparative analysis revealed significant improvements in LVEF and adaptive ventricular response, which is characterized by decreased myocardial mass, relative wall thickness, septal wall thickness, and posterior wall thickness. Notably, these changes were statistically significant in both biological and mechanical valve groups (p = 0.0001), aligning with existing literature. The enhancement in LVEF parallels the reduction in left ventricular hypertrophy, with men exhibiting a greater decrease.7 This reduction predicts improved functional remodeling and increased LVEF. In this study, women demonstrated a trend towards decreased left ventricular myocardial mass, with an 8.82% reduction (p = 0.079), although this did not reach statistical significance. Notably, biological prostheses, specifically the Intuity Elite (Edwards Lifesciences, Irvine, CA, USA) and the Perceval S (Corcym, London, UK) rapid deployment prostheses, exhibited superior adaptive responses and contractility improvements compared to conventional prostheses. This was evidenced by greater decrease in left ventricular myocardial mass up to 21 g/m2 (vs 9 g/m2 and 15 g/m2, p < 0.001), and consistent with this trend, a 5.01% decrease in left ventricular myocardial mass was observed (p = 0.324). These results indicate that biological prostheses, particularly rapid deployment models, may enhance ventricular remodeling and functional outcomes. The selection of a prosthetic heart valve for aortic valve replacement surgery requires a multidisciplinary approach, involving collaborative decision-making between cardiologists and cardiac surgeons. To ensure informed decision-making, patients should receive comprehensive information regarding indications for valve replacement, risks associated with anticoagulant therapy, and possibility as well as risks of reoperation. Furthermore, patient values and preferences should be integrated into this decision-making process, considering individual priorities and quality of life considerations.1 According to literature, preoperative left ventricular mass rates are significantly higher in men than women. Normalization thresholds for ventricular mass index are defined as < 115 g/m2 for men and < 95 g/m2 for women.8 Notably, men demonstrated a higher percentage of normalization (80.4% vs 52.4%, p = 0.02). This study assessed sex-based differences in left ventricular adaptive response pre- and post-operatively, revealing greater decrease in left ventricular mass in women: 8.82% (p = 0.079), greater decrease in left ventricular mass index in women: 7.07% (p = 0.144), greater decrease in posterior wall thickness in women: 4.21% (p = 0.296). These findings suggest that sex plays a pivotal role in adaptive response of the left ventricle to pressure overload generated by AS, and morphological and functional ventricular remodeling following sudden reduction of overload. The observed sex-based differences underscore the importance of considering gender-specific factors in the management and treatment of AS.



CONCLUSIONS

Following aortic valve replacement surgery for severe AS, both bioprosthetic and mechanical valves demonstrated statistically significant left ventricular adaptive responses, characterized by improved LVEF, reduced myocardial mass, decreased relative wall thickness, thinner interventricular septum and posterior walls, and lower PASP, thereby mitigating the risk of pulmonary hypertension. Notably, bioprosthetic valves tended to exhibit greater reductions in myocardial mass, whereas mechanical valves showed greater decreases in PASP, although these differences did not reach statistical significance, highlighting the need for larger sample sizes in future investigations. Furthermore, sex-based analysis revealed a greater propensity for left ventricular mass reduction in female patients. To elucidate the long-term evolution of patients following aortic valve replacement, additional echocardiographic studies are essential to expand the sample size and enhance follow-up, ultimately informing optimized patient care and guiding future research.


REFERENCES

  1. Otto CM, Nishimura RA, Bonow RO, et al. 2020 ACC/AHA Guideline for the Management of Patients with Valvular Heart Disease: Executive Summary: A Report of the American College of Cardiology/American Heart Association Joint Committee on Clinical Practice Guidelines. Circulation. 2021;143(5):e35-e71. doi: 10.1161/CIR.0000000000000932.

  2. CARDIOARAGÓN [Internet]. Diferente respuesta adaptativa ventricular izquierda pre y post cirugía de recambio valvular por estenosis aórtica en función del sexo - CARDIOARAGÓN; [Consultado el 20 de febrero de 2025]. Disponible en: https://www.cardioaragon.com/revistas/volumen-11-numero-2/diferente-respuesta-adaptativa-ventricular-izquierda-pre-y-post-cirugia-de-recambio-valvular-por-estenosis-aortica-en-funcion-del-sexo/

  3. Schwarz F, Baumann P, Manthey J, et al. The effect of aortic valve replacement on survival. Circulation. 1982;66(5):1105-1110. doi: 10.1161/01.cir.66.5.1105.

  4. Kühl HP, Franke A, Puschmann D, Schondube FA, Hoffmann R, Hanrath P. Regression of left ventricular mass one year after aortic valve replacement for pure severe aortic stenosis. Am J Cardiol. 2002;89(4):408-413. doi: 10.1016/s0002-9149(01)02262-7.

  5. Lund O, Erlandsen M. Changes in left ventricular function and mass during serial investigations after valve replacement for aortic stenosis. J Heart Valve Dis. 2000;9(4):583-593.

  6. Gaudino M, Alessandrini F, Glieca F, et al. Survival after aortic valve replacement for aortic stenosis: does left ventricular mass regression have a clinical correlate? Eur Heart J. 2005;26(1):51-57. doi: 10.1093/eurheartj/ehi012.

  7. Lund O, Erlandsen M, Dorup I, Emmertsen K, Flo C, Jensen FT. Predictable changes in left ventricular mass and function during ten years after valve replacement for aortic stenosis. J Heart Valve Dis. 2004;13(3):357-368.

  8. Lang RM, Badano LP, Mor-Avi V, et al. Recommendations for cardiac chamber quantification by echocardiography in adults: an update from the American Society of Echocardiography and the European Association of Cardiovascular Imaging. J Am Soc Echocardiogr. 2015;28(1):1-39.e14. doi: 10.1016/j.echo.2014.10.003.



AFFILIATIONS

1 Department of Adult Cardiac Surgery, High Specialty Medical Unit of Cardiology, Hospital No. 34 "Dr. Alfonso J Treviño Treviño", IMSS. Monterrey, Mexico.

2 Mexican College of Cardiovascular and Thoracic Surgery. Mexico City, Mexico.



Funding: none.

Conflict of interest: the authors have no conflict of interest.



CORRESPONDENCE

Dr. Rigoberto Marmolejo-Rivera. E-mail: rmarmolejo23rmr@gmail.com




Received: 10-03-2024. Accepted: 02-20-2025.

Figure 1
Table 1
Table 2
Table 3
Table 4
Table 5
Table 6

2020     |     www.medigraphic.com

Mi perfil

C?MO CITAR (Vancouver)

Cir Card Mex. 2025;10