medigraphic.com
SPANISH

Cardiovascular and Metabolic Science

ISSN 2954-3835 (Electronic)
ISSN 2683-2828 (Print)
Antes Revista Mexicana de Cardiología

Ver Revista Mexicana de Cardiología


  • Contents
  • View Archive
  • Information
    • General Information        
    • Directory
  • Publish
    • Instructions for authors        
    • Send manuscript
  • medigraphic.com
    • Home
    • Journals index            
    • Register / Login
  • Mi perfil

2021, Number 1

<< Back Next >>

Cardiovasc Metab Sci 2021; 32 (1)

Safe and effective early start of oral anticoagulant therapy in ambulatory patients with COVID-19

Chacek-Saslavsky, Samuel1; Hernández-Pérez, Ana Luisa2; Moguel, Rafael3; Gallardo-Hernández, Ana Gabriela4
Full text How to cite this article 10.35366/98225

DOI

DOI: 10.35366/98225
URL: https://dx.doi.org/10.35366/98225

Language: English
References: 26
Page: 9-15
PDF size: 238.11 Kb.


Key words:

COVID-19, oral anticoagulation, outpatient treatment.

ABSTRACT

The current pathophysiological knowledge of COVID-19 patients includes inflammation and micro-thrombus, so hospitalized patients receive low-molecular weight and unfractionated heparin, but not all patients can access these drugs. Our objective is to inform our experience with oral anticoagulants in different doses in ambulatory COVID-19 patients. Material and methods: This study presents a retrospective case series of COVID-19 patients, with confirmed PCR diagnosis. According to the disease burden criteria, every patient received supportive treatment plus rivaroxaban or apixaban on different doses and oxygen if needed. The team evaluated the clinical course of the disease, laboratory markers, imaging studies and the presence of complications. The statistical analysis was done with SPSS 21. Results: This study included forty-one patients with moderate to severe disease, from a universe of 300 patients with confirmed COVID-19 infection; the patients were allocated into one of three groups based on the severity degree and received intense anticoagulation, usual anticoagulation and usual anticoagulation plus platelet blockade. The median age was 50 years (30-75), 64% male. The D-dimer and ferritin were above normal levels in all patients. The group under intense anticoagulation had higher D-dimmer and ferritin, as well as lower lymphocyte count. This group had a shorter recovery time. Conclusions: In COVID-19 patients, the early initiation of oral anticoagulation at home was safe and effective, without the need for hospitalization. We found ferritin as the most important serum marker to define the patient's stage.



INTRODUCTION

The several clinical complications of COVID-19 are due to thrombosis and generalized inflammatory events.1-3 The rapid progress of the COVID-19 pandemic has limited the ability to regulate the treatment in early stages of the disease, and most research directs towards seriously ill patients.4,5 The RECOVERY trial6 documented a significant decrease in 28-day mortality in critically ill patients, who received dexamethasone management.

Regarding thrombotic complications, the evidence is not clear yet. Forty percent of the infected patients develop mild symptoms with fever, cough, myalgia, arthralgia, onychophagia, fatigue, dyspnea, diarrhea, and headaches; 40% developed moderate symptoms with radiological evidence of pneumonia; 15% had severe pneumonia that requires supplemental oxygen; and 5% developed severe complications such as acute distress syndrome, thromboembolism, coagulation disorders and multiorgan failure.7,8 The guidelines and recommendations for early outpatient management of COVID-19 patients establish only palliative measures such as: control of fever, rest and hydration without more effective prevention towards critical complications.9

There are significant restrictions to early stage anticoagulation therapy in the official outpatient management guidelines for COVID-19, including the National Institute of Health (NIH)9 and the guidelines of the Secretary of Health of Mexico.10 The WHO (World Health Organization) declared COVID-19 as a pandemic, on March 11, 2020, and 8 months after, one in every five infected patients progresses towards severe stages and need hospitalization.11

Many patients with moderate or even severe symptoms seek for outpatient care, due to lack of conclusive evidence, infodemics, hospital saturation, high costs and possible exposition to infection.12,13

Luca Carsana et al., in northern Italy, published their histopathological findings in lung SARS-CoV-2 specimens from 38 dead patients, with capillary congestion, interstitial edema, dilated alveolar ducts, hyaline membranes composed of fibrin and serum proteins, loss of pneumocytes, hyperplasia and atrophy of type II pneumocytes, proliferation of myofibroblasts, alveolar granulation tissue, obliterative fibrosis, and significant thrombosis of small blood vessels (diameter less than 1mm) in 33 autopsies.12

The critical COVID-19 patients develop pulmonary and systemic thrombosis in small vessels,14,15 possibly related to the typical ground glass tomographic images,16,17 that may lead to further complications or even death. These findings favour the decision to administer anticoagulants.11

The Massachusetts General Hospital18 suggested measuring the D-dimmer in every in-hospital COVID-19 patient, with the recomendation for parenteral anticoagulation, when confirmed high levels. There are current indications for using oral anticoagulants, either that directly inhibit Factor Xa (rivaroxaban, apixaban), or thrombin (dabigatran).5,13

The EINSTEIN19 and AMPLIFY3 trials showed the safety and efficacy in the management of high doses of Factor Xa inhibitors in patients with acute pulmonary thromboembolism. The European Society of Cardiology (ESC) 201413 guidelines for the management of pulmonary thromboembolism, recommend therapies for up to 3 weeks with these oral anticoagulants, when hospitalization or parenteral drugs are not possible.3,19

Tang et al.,20 documented a decrease in mortality of critical COVID-19 patients with previous coagulopathy, high D-Dimer and prophylactic anticoagulants?21,22 Nonetheless, the treatment with drugs with supposed antiviral action over SARS-CoV-2, such as lopinavir, ritonavir, favipiravir, chloroquine and hydroxychloroquine, predominate, despite negative evidence of benefit.23,24

To date, there are no publications confirming the benefit of oral anticoagulants at different doses in patients with COVID-19. Treatment with enoxaparin is limited in our environment, due to high cost, parenteral application and high demand,5,25,26 these problems make oral anticoagulants an alternative.

We inform our experience regarding oral anticoagulants, in different doses, in ambulatory COVID-19 patients, under the authors' criteria, based on the previous evidence for small vessels thrombosis and compassionate approach.



MATERIAL AND METHODS

The authors retrospectively analyzed ambulatory patients' clinical records with SARS-CoV-2, treated with rivaroxaban and apixaban at different doses, from May to September 2020.

Table 1 states the diagnostic criteria to confirm SARS-CoV-2, based on clinical, laboratory and cabinet information, subsequently followed through office consultation or by telephone, emphasis the clinical progress, adherence to treatment, complications and adverse events.

The statistical analysis was done using SPSS 21 software and expressed in median ± standard deviation, frequency and percentages according to bivariate analysis with U Mann Whitney and χ2.

According to the comorbidities and risk factors detected, as well as the results obtained in baseline and follow-up studies, management groups according to the original criteria, as discussed in Table 2 classified the patients.



RESULTS

The analysis included 41 patients, from a group of 300 with a recent diagnosis of SARS-CoV-2 infection. The Table 2 summarizes three different allocation groups: The group with intense anticoagulation consisted of 12 patients, the usual anticoagulation plus platelet blockade group with 18 patients, and in the usual anticoagulation group, with 11 patients; 92.6% of the patients received rivaroxaban and the rest apixaban.

All the patients received supplemental oxygen if needed, azithromycin 500 mg every 24 h for five days and intramuscular prolonged release dexamethasone 21-isonicotinate 8mg/day for five to seven days.

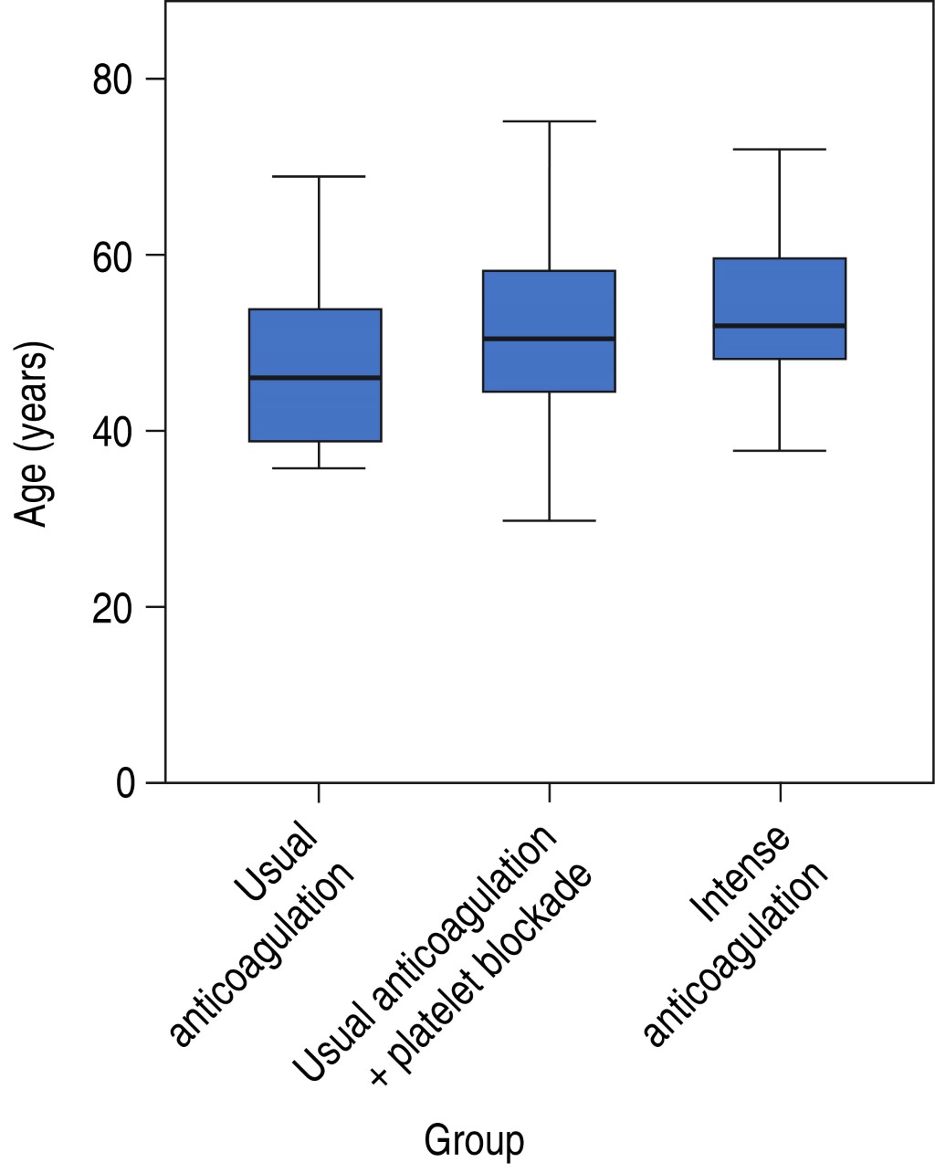
The median age was 50 years old (from 30 to 75) (Figure 1), 64% men, middle socioeconomic status and most of them living in Mexico City.

The comorbidities were: overweight or obesity 21%, systemic arterial hypertension 12%, diabetes mellitus 5%, obstructive pulmonary disease 10%, history of venous thrombosis 5%, hypothyroidism 2.5%, dyslipidemia 5%, kidney disease 5%.

The Figure 2 shows the recovery time in the different groups. All the patients received ambulatory treatment; all with moderate to severe disease, tolerated the oral anticoagulation and showed faster recovery; only one patient presented mild sub-conjunctival hemorrhage.

The laboratory disclosed elevated D-Dimer and Ferritin, but higher in the intense anticoagulation group (Figure 3).

The lymphocyte count was normal in the usual anticoagulation and anticoagulation plus platelet blockade groups; below 1,100 mm3 in the intense anticoagulation group (Figure 4).

The 114 patients presented a mild or moderate form of COVID-19 and received prophylactic anticoagulation plus platelet blockade. They had a positive PCR test for COVID-19 and mild or negative radiological imaging, especially ground glass and a mild reticular pattern (Figure 5). The most frequent comorbidity was overweight and hypertension. All these patients continued ambulatory treatment without complications.

All the patients received an additional pharmacological scheme based on vitamin supplements (vitamins C and D), antioxidants (Quercetin and N-Acetyl cysteine) in addition to zinc.



DISCUSSION

The systemic inflammatory response and generalized microthrombosis result from COVID-1911,12 infection. The current guidelines focused on the treatment of the inflammatory phase suggest concomitant management with enoxaparin in a hospital setting.

It is justified the extrapolation of the Factor Xa inhibitors, as described for the patients with acute pulmonary thromboembolism, on the European Society of Cardiology13 treatment guide, to treat moderate to severe COVID-19 patients, in order to reduce the risk of thrombosis. The treatment was proven safe and effective, none of the treated patients required hospitalization, not even the patients with lymphopenia. Ferritin had a higher correlation than D-Dimer to clinical deterioration and severity of the radiological lesions. Therefore Ferritin can be used to determine if anticoagulation therapy should be indicated.

Our experience proved that oral anticoagulation therapy is safe and effective for ambulatory COVID-19 patients, even in severe cases.21,25 The patient has to be educated to identify early sings of worsening, such as oxygen saturation and vital signs, and the need to report them to the physician to establish the need for a further clinical test to ensure the treatment's safety.



CONCLUSIONS

This study showed that oral ambulatory anticoagulation is safe and effective in COVID-19 patients, especially with thrombotic risk factors. Our results showed that both the elevation of ferritin levels and the decrease in the lymphocyte count correlate with the severity of the disease and may suggest the initiation of oral anticoagulation at high doses without increasing the risk of bleeding.


REFERENCES

  1. Guan L, Zhou L, Zhang J, Peng W, Chen R. More awareness is needed for severe acute respiratory syndrome coronavirus 2019 transmission through exhaled air during non-invasive respiratory support: experience from China. Eur Respir J 2020; 55: 2000352.

  2. Bikdeli B, Madhavan MV, Jimenez D, Chuich T, Dreyfus I, Driggin E et al. COVID-19 and thrombotic or thromboembolic disease: implications for prevention, antithrombotic therapy, and follow-up: JACC State-of-the-art review. J Am Coll Cardiol. 2020; 75 (23): 2950-2973.

  3. Agnelli G, Buller HR, Cohen A, Curto M, Gallus AS, Johnson M, et al. Oral apixaban for the treatment of acute venous thromboembolism. N Engl J Med. 2013; 369: 799-808.

  4. Ordoñez-Espinosa G, Gallardo-Hernández AG, Hernández-Pérez AL, Revilla-Monsalve C, Bermúdez-Ochoa MG, Mejía-Velázquez NE et al. Manejo integral del paciente con COVID-19 en la unidad de terapia intensiva en un hospital de segundo nivel de atención. Med Int Mex. 2020; 36: 596-606.

  5. Cattaneo M, Bertinato EM, Birocchi S, Brizio C, Malavolta D, Manzoni M, et al. Pulmonary embolism or pulmonary thrombosis in COVID-19? Is the recommendation to use high-dose heparin for thromboprophylaxis justified? Thromb Haemost. 2020; 120 (8): 1230-1232.

  6. Group RC. Dexamethasone in hospitalized patients with COVID-19-preliminary report. N Engl J Med. 2020; 1-11.

  7. Rico-Mesa JS, Rosas D, Ahmadian-Tehrani A, White A, Anderson AS, Chilton R. The role of anticoagulation in COVID-19-induced hypercoagulability. Curr Cardiol Rep. 2020; 22 (7): 53.

  8. Organización Panamericana de la Salud/Organización Mundial de la Salud. Alerta epidemiológica: COVID-19, complicaciones y secuelas. Boletín OPS. 2020; 1: 17.

  9. Singhal T. A review of coronavirus disease-2019 (COVID-19). Indian J Pediatr. 2020; 87 (4): 281-286.

  10. Informe técnico referente a Coronavirus (COVID-19) de la Secretaría de salud (2020) https://www.gob.mx/salud/documentos/coronavirus-covid-19-comunicado-tecnico-diario-238449 (Consultado el 5 de octubre 2020).

  11. Zhai Z et al. Prevention and treatment of venous thromboembolism associated with coronavirus disease 2019 infection: a consensus statement before guidelines. Thrombosis and haemostasis. 2020; 120: 937.

  12. Carsana L, Sonzogni A, Nasr A, Simona RR, Pellegrinelli A, Zerbi P et al. Pulmonary post-mortem findings in a series of COVID-19 cases from northern Italy: a two-centre descriptive study. Lancet Infect Dis. 2020; 20: 1135-1140.

  13. Konstantinides SV, Torbicki A, Agnelli G, Danchin N, Fitzmaurice D, Galiè N et al. 2014 ESC Guidelines on the diagnosis and management of acute pulmonary embolism: The Task Force for the Diagnosis and Management of Acute Pulmonary Embolism of the European Society of Cardiology (ESC) Endorsed by the European Respiratory Society (ERS). European Heart Journal. 2014; 35 (43): 3033-3080.

  14. Tan L, Wang Q, Zhang D, Ding J, Huang Q, Tang YQ et al. Lymphopenia predicts disease severity of COVID-19: a descriptive and predictive study. Sig Transduct Target Ther. 2020; 5: 1-3.

  15. Kursat AA, Akdis M, Azkur D, Sokolowska M, Van de Veen W, Brüggen MC et al. Immune response to SARS-CoV-2 and mechanisms of immunopathological changes in COVID-19. Allergy. 2020; 75: 1564-1581.

  16. Guan CS, Lv ZB, Yan S, Du YN, Chen H, Wei LG et al. Imaging features of coronavirus disease 2019 (COVID-19): evaluation on thin-section CT. Acad Radiol. 2020; 27 (5): 609-613.

  17. Sáez EJ, Berastegi SC, Telleria BA, Cura AG, Quílez BJ. Vidrio deslustrado: ¿qué hay detrás? Radiology. 2020; 60: 7.

  18. Corporation MGH. Aspectos hematológicos durante el COVID-19. 8 (Massachussetts General Hospital, 2020).

  19. Chalikias G, Diehm N. Oral rivaroxaban for symptomatic venous thromboembolism. Advances in Venous Arterial Thrombosis. 2011; 1: 63-64.

  20. Tang N, Bai H, Chen X, Gong J, Li D, Sun Z. Anticoagulant treatment is associated with decreased mortality in severe coronavirus disease 2019 patients with coagulopathy. J Thromb Haemost. 2020; 18 (5): 1094-1099.

  21. Moreno G, Carbonell R, Bodí M, Rodríguez A. Systematic review of the prognostic utility of D-dimer, disseminated intravascular coagulation, and anticoagulant therapy in COVID-19 critically ill patients. Med Intensiva. 2021; 45 (1): 42-55.

  22. Trujillo-Santos J, Di Micco P, Dentali F, Douketis J, Díaz-Peromingo JA, Núñez MJ et al. Real-life treatment of venous thromboembolism with direct oral anticoagulants: the influence of recommended dosing and regimens. Thromb Haemost. 2017; 117: 382-389.

  23. Fulco PP, Zingone MM, Higginson RT. Possible antiretroviral therapy-warfarin drug interaction. Pharmacotherapy. 2008; 28: 945-949.

  24. Khiali, S. & Entezari-Maleki, T. Anticoagulation in COVID-19: DDI Perspective. Clinical and Applied Thrombosis/Hemostasis. 2020; 26: 1-3. 1076029620959457.

  25. Drago F, Gozzo L, Li L, Stella A, Cosmi B. Use of enoxaparin to counteract COVID-19 infection and reduce thromboembolic venous complications: a review of the current evidence. Front Pharmacol. 2020; 11: 579886.

  26. Marietta M, Ageno W, Artoni A, De Candia E, Gresele P, Marchetti M et al. COVID-19 and haemostasis: a position paper from Italian Society on Thrombosis and Haemostasis (SISET). Blood Transfus. 2020; 18 (3): 167-169.



AFFILIATIONS

1 Cardiologist. Associated with Hospital Ángeles Lomas, Hospital Español and Dalinde Medical Center Member of COMECITE.

2 Anesthesiologist Physician. Attached to the American British Cowdray Medical Center.

3 Interventional cardiologist. COMECITE, The Clinics of the Heart.

4 Clinial Researcher. Medical Research Unit in Metabolic Diseases in Centro Médico Nacional Siglo XXI, IMSS.



CORRESPONDENCE

Ana Gabriela Gallardo Hernández. E-mail: anagabygh@gmail.com




Received: 27/10/2020. Accepted: 05/01/2021

Figure 1
Figure 2
Figure 3
Figure 4
Figure 5
Table 1
Table 2

2020     |     www.medigraphic.com

Mi perfil

C?MO CITAR (Vancouver)

Cardiovasc Metab Sci . 2021;32