medigraphic.com
ENGLISH

Revista Mexicana de Anestesiología

ISSN 3061-8142 (Digital)
  • Mostrar índice
  • Números disponibles
  • Información
    • Información general        
    • Directorio
  • Publicar
    • Instrucciones para autores        
  • medigraphic.com
    • Inicio
    • Índice de revistas            
    • Registro / Acceso
  • Mi perfil

2026, Número 1

<< Anterior Siguiente >>

Rev Mex Anest 2026; 49 (1)


Monitoreo hemodinámico por capnorrastreo y capnodinamia: el ETCO₂ más allá del horizonte

Franco-Morales, Lizbeth1; Pérez-Nieto, Orlando Rubén1,5; Zamarrón-López, Eder Iván2; Deloya-Tomás, Ernesto1; Díaz-Martínez, Manuel Alfredo3; Guerrero-Gutiérrez, Manuel Alberto4
Texto completo Cómo citar este artículo 10.35366/122383

DOI

DOI: 10.35366/122383
URL: https://dx.doi.org/10.35366/122383
Artículos similares

Idioma: Español
Referencias bibliográficas: 30
Paginas: 29-35
Archivo PDF: 746.02 Kb.


PALABRAS CLAVE

monitoreo, dióxido de carbono, gasto cardíaco, perioperatorio, paciente crítico.

RESUMEN

El ETCO2 ha sido utilizado por décadas como el estándar de oro en la intubación orotraqueal (cuantitativa o cualitativamente), parámetro de referencia e incluso meta en los manejos de patologías; a su vez, la curva de capnografía nos aporta gran información del paciente. Actualmente el ETCO2 va más allá de limitarse a esto, considerándose parte del monitoreo hemodinámico avanzado, siendo de gran utilidad en el manejo guiado por metas, reanimación cardiopulmonar, estado ácido-base, gasto cardíaco, etcétera. Existen métodos denominados capnorrastreo (capnotracking) y capnodinamia, que se generan respiración con respiración interpretándose en un monitor de gasto cardíaco, ofreciendo variables dinámicas, siendo de gran utilidad en el contexto perioperatorio y manejo del paciente crítico.



ABREVIATURAS:

  • CvCO2 = contenido venoso de CO2
  • ETCO2 = CO2 al final de la espiración (End-Tidal CO2 )
  • GC = gasto cardíaco
  • IC95% = intervalo de confianza de 95%
  • OR = Odds Ratio (razón de momios)
  • RCE = retorno a la circulación espontánea
  • RCP = reanimación cardiopulmonar
  • TET = tubo endotraqueal
  • USPSTF = United States Preventive Services Task Force
  • VCO2 = producción de CO2
  • VO2 = consumo de oxígeno



INTRODUCCIóN

En los últimos 25 años, el progreso en las técnicas para la medición del gasto cardíaco (GC) ha sido impulsado en gran medida por el potencial del monitoreo hemodinámico avanzado para brindar mejoras en los resultados de los pacientes en cirugía mayor.

Gran parte de este interés entre los clínicos e investigadores se relaciona con la administración juiciosa de líquidos intravenosos "dirigido por objetivos", a partir de nuestra comprensión de la relación entre el estado de volemia circulatoria y el volumen sistólico basado en la curva de Frank-Starling(1,2).

Esto se manifiesta clínicamente como "respuesta a volumen", donde el gasto cardíaco puede aumentarse con una mayor precarga ventricular hasta un punto máximo que representa el estado de volumen "óptimo". Las posibles implicaciones clínicas de esto fueron expresadas por Bellamy, quien dibujó una curva de respuesta a volumen que relaciona la reanimación con líquidos y la perfusión tisular óptima para minimizar las tasas de complicaciones en los pacientes(3).

A pesar del crecimiento de técnicas cada vez más modernas y disponibles, la medición del gasto cardíaco mínimamente invasivo en la monitorización rutinaria del paciente en cirugía mayor, específicamente en el paciente con trauma, sigue siendo relativamente pobre la evidencia demostrada, creando un tema de entusiasmo y constante investigación(4).



HISTORIA DE LA CAPNOGRAFíA

La capnografía es una monitorización no invasiva de la ventilación que mide el dióxido de carbono exhalado por el paciente. Desde los primeros estudios clínicos realizados por Smallhout y Kalenda en los comienzos de los años 70, se ha venido empleando para monitorizar a pacientes intubados en el medio hospitalario, primero en Europa y posteriormente en los Estados Unidos. En 1991, la American Society of Anesthesiologists (ASA) considera que el estándar de atención en el quirófano es la monitorización conjunta de la capnografía y la pulsioximetría(5). El American College of Emergency Physicians (ACEP) en 1995 indica el uso rutinario de la capnografía en el paciente intubado, tanto en el medio hospitalario como extrahospitalario(5). La American Heart Association (AHA) recomienda su uso desde el año 2000 durante la parada cardiorrespiratoria y el tratamiento cardiovascular urgente, tanto intra como extrahospitalario(5). En Europa, desde el 2002, la Intensive Care Society considera que la capnografía es un estándar de atención en el transporte del paciente crítico adulto en el Reino Unido(5). Para el 2005, la European Resuscitation Council (ERC) recomienda su uso para verificar la correcta colocación del tubo endotraqueal (TET) durante el paro cardiorrespiratorio(5).



APLICACIONES CLíNICAS BáSICAS DE LA CAPNOGRAFíA

Se utilizan diferentes tecnologías para monitorizar el ETCO2:

  • 1. Detectores colorimétricos, que son dispositivos simples que reaccionan químicamente con el CO2, proporcionan valores semicuantitativos en un rango de tres colores de acuerdo con la concentración de CO2 existente en la muestra de gas exhalado.
  • 2. Los capnómetros representan la medida como un valor numérico de CO2 exhalado, expresado en unidades de presión: Torr (mmHg) o % CO2.
  • 3. Los capnógrafos determinan los niveles de CO2 y proporcionan una representación gráfica en forma de onda de los valores detectados (conocido como capnograma(5), que puede representarse por su relación con la concentración de CO2 basada en el volumen (capnografía volumétrica) o el tiempo (capnografía temporal).



ETCO2 EN EL PACIENTE OROINTUBADO

Actualmente, los profesionales sanitarios pueden emplear la capnografía tras intubar a un paciente para confirmar la colocación correcta del TET, monitorizar la calidad de la reanimación cardiopulmonar (RCP) y controlar la ventilación durante la asistencia al paciente con sospecha de hipertensión intracraneal (HIC) situaciones de atención prioritaria en el paciente con trauma. De las tres, la indicación más relevante y con mayor evidencia científica es la confirmación de la correcta colocación del TET. La intubación esofágica no reconocida es una complicación potencialmente fatal si no se solventa rápidamente. En nuestro medio, su incidencia se estima en torno al 15%(6). Diferentes estudios publicados en los últimos años concluyen que los métodos clínicos empleados para la confirmación de la posición del TET (auscultación pulmonar y en el estómago, movimientos torácicos, vapor en el tubo, etcétera) deben complementarse con un método objetivo, como es la capnografía, para reducir la incidencia de intubaciones esofágicas(6) (Figura 1).



CAPNOGRAFíA DURANTE RCP: INTUBACIóN OROTRAQUEAL O EMPLEO DE DISPOSITIVO DE BARRERA

Las sociedades científicas han recomendado la capnografía durante las maniobras de RCP para una correcta monitorización de la intubación orotraqueal con la finalidad de generar una RCP de alta calidad, y para la detección temprana del retorno a la circulación espontánea (RCE)(7) (Figura 2). En la validez de este parámetro, como indicador predictivo y pronóstico del resultado de un paro cardíaco, se ha correlacionando la baja probabilidad de supervivencia de los pacientes recién intubados con aquellos que muestran valores < 10 mmHg o el mismo nivel después de 20 minutos de reanimación(8).

En las últimas recomendaciones del Consejo Europeo de Reanimación, aumentó la importancia de la capnografía en el monitoreo fisiológico durante el paro cardíaco. Los autores indicaron la posibilidad de utilizar este parámetro junto con sistemas de ventilación (dispositivos de vía aérea supraglótica o BVM) para pacientes con paro cardíaco(8).



CAPNOGRAFíA DURANTE RCP CON DISPOSITIVO DE BARRERA

A pesar de tener bajo nivel de evidencia en adultos y evidencia moderada en recién nacidos, de acuerdo con los niveles de evidencia del USPSTF (United States Preventive Services Task Force) y los resultados de las hojas de lectura crítica registradas conforme la reciente revisión sistemática del 2019(9), se sugiere que la capnografía con ventilación con dispositivo de barrea es factible y parece tener el potencial de confiabilidad para dirigir la calidad de RCP tanto en adultos como en neonatos(9).



ELEVACIóN PASIVA DE PIERNAS CON PRESIóN EXHALATORIA DE DIóXIDO DE CARBONO (EPP-ETCO2)

Es una prueba que predice si el GC aumentará con expansión de volumen. Al transferir un volumen de 300 mL de sangre venosa aproximadamente desde la parte inferior del cuerpo hacia el corazón derecho. El CO2 espirado o espiratorio final se determina principalmente por el flujo sanguíneo pulmonar (subrogado del GC), la producción metabólica del CO2 (VCO2) y la ventilación, por lo que la ETCO2 varia directamente con VO2 y el GC e inversamente proporcional con la ventilación alveolar. Por lo tanto, durante la maniobra de levantamiento pasivo de piernas la tasa metabólica sistémica permanece constante, los cambios en ETCO2 deberían reflejar predominantemente las variaciones en el flujo sanguíneo pulmonar y, por tanto, indirectamente, los cambios en el gasto cardíaco(10). Toupin y colaboradores(11) realizaron un estudio prospectivo y observacional, que incluyó a 90 pacientes con uso de ventilación mecánica, en los cuales se implementó maniobra de elevación pasiva de piernas, donde definieron a un paciente respondedor a líquidos como aquel con un aumento del 15% del GC. La respuesta a líquidos se asoció con una variación de ETCO2 (?ETCO2) de ≥ 2 mmHg durante el levantamiento pasivo de piernas (odds ratio [OR] 7.3, intervalo de confianza de 95% [IC95%] 2.7-20.2, p ≤ 0.01), con sensibilidad de 75%, valor predictivo positivo de 54% y valor predictivo negativo de 86%. El área bajo la curva ROC para el incremento del gasto cardíaco y ETCO2 tras la maniobra de elevación pasiva de piernas (0.97 ± 0.03, IC95% 0.85-0.99; y 0.94 ± 0.04, IC95% 0.82-0.99). Un aumento > 5% en ETCO2 o ≥ 12% en el gasto cardíaco durante la elevación pasiva de piernas predijo la capacidad de respuesta a fluidos con una sensibilidad del 90.5% (IC95% 69.9-98.8) y 95.2% (IC95% 76.2-99.9), respectivamente, y una especificidad de 93.7% (IC95% 69.8-99.8)(11-14) (Figura 3).



MONITOREO HEMODINáMICO NO INVASIVO EN ANESTESIA DE TRAUMA: CAPNOMETRíA Y CAPNOGRAFíA

El término capnometría se utiliza para definir los valores máximo y mínimo de la concentración de dióxido de carbono (CO2) durante un ciclo respiratorio, mientras que el término capnografía se refiere al registro gráfico de la eliminación de CO2 espirado en un ciclo respiratorio. La capnometría y la capnografía son una medida del metabolismo celular que en anestesia nos permite(15) (Figura 4):

  • 1. Evaluar la ventilación/perfusión pulmonar pues representa un índice cualitativo y cuantitativo de la ventilación y perfusión alveolar.
  • 2. La observación de los cambios en el valor del CO2 y en la morfología del capnograma es útil en la detección de alteraciones en el gasto cardíaco.



APLICACIONES CLíNICAS DEL FUTURO DE LA CAPNOGRAFíA

Por otro lado, como monitor de perfusión (complementando de forma continua a la tensión arterial) se emplea la capnografía en estados de choque, una situación cada vez más prioritaria en el paciente con trauma, donde pueden observarse caídas del ETCO2 en caso de hipovolemias súbitas (rotura de aneurisma de aorta, rotura esplénica, etcétera) o al producirse un tromboembolismo pulmonar(15,16).



CAPNOTRACKING

En 2006, Peyton y colaboradores publicaron un estudio con un modelo bovino de inestabilidad hemodinámica, en el que examinaron la relación entre los cambios en el gasto cardíaco y las fluctuaciones en la eliminación de CO2(17). Peyton, en 2008, procedió a un estudio clínico en el Hospital Austin en Melbourne, Australia, en 24 pacientes sometidos a cirugía cardíaca utilizando una modificación del método original de Gedeon y asociados(18-21).

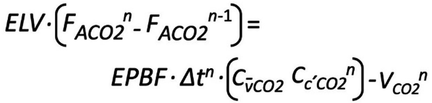
Esto fue seguido por un estudio clínico más grande en un solo centro de fase 2 publicado en 2012 denominado "capnotracking" que proporcionó una medición continua del gasto cardíaco(22). El método consistió en una "maniobra de calibración" que incluía cambios periódicos automáticos en la frecuencia del ventilador, similares a los probados en su estudio de 2008, a partir de una ecuación para la obtención del flujo sanguíneo pulmonar, y repetir cada 30 minutos. En los períodos intermedios, la monitorización del gasto cardíaco, respiración tras respiración, se obtuvo mediante una "ecuación de continuidad" que relacionó los cambios en la eliminación de CO2 medidos con cada respiración con los cambios en el flujo sanguíneo pulmonar, y que fue congruente con estudios experimentales en animales y teóricos publicados previamente por Breen & Isserles(23-25) (Figura 5).

El método se probó con éxito en 77 pacientes sometidos a cirugía cardíaca y trasplante hepático, que abarcan estados circulatorios hipodinámicos, lo que proporciona una prueba exigente de la linealidad y confiabilidad del método en un amplio rango de valores de gasto cardíaco. El porcentaje de error del método respecto de termodilución fue de ± 44.2%, similar a otras técnicas mínimamente invasivas más engorrosas(26).



CAPNODINAMIA

En Suecia, un grupo patrocinado por Maquet Critical Care AB en colaboración con el Hospital Karolinska de Estocolmo, desarrolló un sistema basado en las fluctuaciones en la ventilación alveolar mediante un cambio automático en el promedio de las mismas y una proporción frente a la capacidad inspiratoria similar a la que originalmente probó Gedeon y colaboradores. que llamaron capnodynamics(27).

Este patrón de respiración cíclica proporciona múltiples entradas en la ecuación de diferencial de Fick, siendo necesario un ajuste de la ecuación con la finalidad de mantener un flujo sanguíneo pulmonar efectivo (EPBF) con cada nueva respiración(27). Las matemáticas del método corregirán continuamente las fuentes de error que surjan entre las presiones parciales de CO2 al final de la espiración y la presión parcial de CO2 arterial medidas. Ésta es una fuente teórica de error en capnotracking, donde los cambios en el volumen pulmonar efectivo tenderán a aumentar conforme los cambios en la perfusión pulmonar.

Por lo tanto, el hecho de calcular el volumen pulmonar efectivo para CO2 continuamente, puede tener beneficios adicionales para el manejo respiratorio en cuidados críticos(27) (Figura 6).

La fidelidad del método capnodinámico en las pruebas preclínicas extenuantes plantea la cuestión de por qué los cambios en CvCO2 (contenido venoso de CO2) inducidos por cambios en la frecuencia ventilatoria y la eliminación de CO2 no invalidan la medición, en la forma esperada por primera vez por Gedeon y asumida en realizaciones posteriores por el método de Fick(28,29).

La solución está en la respuesta real de Cvco2 en presencia de fluctuaciones cíclicas continuas en la ventilación alveolar(30). Claramente, cuando la ventilación aumenta o disminuye durante un período de tiempo sostenido, la eliminación de CO2 aumentará o disminuirá en respuesta hasta que se logre un nuevo estado de equilibrio con una presión parcial de CO2 venosa alveolar y mixta que sea más baja o más alta, respectivamente. Sin embargo, cuando la periodicidad del cambio es óptima, las fluctuaciones cíclicas generadas en la presión parcial de CO2 alveolar no se reflejan en tiempo real por el cambio en Cvco2, debido a las diferentes constantes de tiempo circulatorio de los diversos lechos que contribuyen a la mezcla flujo sanguíneo venoso(27).

Las fluctuaciones en la presión parcial del CO2 venoso dentro de cada compartimento del cuerpo se eliminan en gran medida cuando se combinan para formar sangre venosa mixta. La periodicidad de los cambios ventilatorios en la mitad de un minuto aproximadamente pareciera lograr esto satisfactoriamente(27).

En retrospectiva, la inteligente idea de Gedeon para la medición del gasto cardíaco estaba muy adelantada a su tiempo, se requirió esperar la infraestructura de monitoreo y suministro de anestesia que estaba disponible habitualmente en la sala de operaciones para ponerse al día y proporcionar los medios para su plena explotación.

Además, la solución al problema del cambio de Cvco2 que parecía limitar la confiabilidad del método de Fick ha estado "escondiéndose a simple vista" todo el tiempo. Como tal, se tiene el optimismo de que ésta es una idea a la que finalmente llegó el momento de darle la oportunidad de explotarse, y de que será capaz de ofrecer un monitoreo continuo y confiable del gasto cardíaco, con una facilidad y accesibilidad que anteriormente no se podían lograr con otras técnicas.

Esto mejorará dramáticamente la monitorización hemodinámica avanzada en anestesia y cuidados críticos, y permitirá que futuros ensayos clínicos grandes exploren el potencial de esto para brindar mejoras en resultados importantes para el paciente.



CONCLUSIóN

El avance tecnológico en el monitoreo hemodinámico ha sido exponencial, la medición del gasto cardíaco y sus variables hemodinámicas son fundamentales actualmente para el manejo del paciente crítico, formando parte imprescindible la medición del ETCO2, desde el período de intubación hasta la capnodinamia y capnorrastreo. Este enfoque nos garantiza una evaluación de mayor efectividad. Se necesitan más estudios para poder definir el nivel de evidencia que ofrece la capnodinamia y el capnorrastreo en los distintos escenarios clínicos.


REFERENCIAS (EN ESTE ARTÍCULO)

  1. Corcoran T, Rhodes JE, Clarke S, Myles PS, Ho KM. Perioperative fluid management strategies in major surgery: a stratified meta-analysis. Anesth Analg. 2012;114:640-651.

  2. Pearse RM, Harrison DA, MacDonald N, Gillies MA, Blunt M, Ackland G, et al. OPTIMISE study group. Effect of a perioperative, cardiac output-guided hemodynamic therapy algorithm on outcomes following major gastrointestinal surgery: a randomized clinical trial and systematic review. JAMA. 2014;311:2181-2190.

  3. Bellamy MC. Wet, dry or something else? Br J Anesth. 2006;97:755-757.

  4. Miller TE, Roche AM, Gan TJ. Poor adoption of hemodynamic optimization during major surgery: are we practicing substandard care? Anesth Analg. 2011;112:1274-1276.

  5. Cheifetz I, Myers TR. Should every mechanically ventilated patient be monitored with capnography from intubation to extubation? Respir Care. 2007;52:423-438.

  6. Timmermann A, Russo SG, Eich C, et al. The out-of-hospital esophageal and endobronchial intubations performed by emergency physicians. Anesth Analg. 2007;104:619-623.

  7. American Society of Anesthesiologists. Standards for basic anesthetic monitoring [Internet]. Schaumburg (IL): American Society of Anesthesiologists; 2005. Available in: https://www.asahq.org/standards-and-practice-parameters/standards-for-basic-anesthetic-monitoring

  8. Soar J, Nolan JP, Bottiger BW, Perkins GD, Lott C, Carli P, et al. European Resuscitation Council Guidelines for Resuscitation 2015: Section 3. Adult advanced life support. Resuscitation. 2015;95:100-147.

  9. Cereceda-Sánchez FJ, Molina-Mula J. Systematic Review of capnography with mask ventilation during cardiopulmonary resuscitation maneuvers. J Clin Med. 2019;8:358.

  10. Monnet X, Bataille A, Magalhaes E, Barrois J, Le Corre M, Gosset C, et al. End-tidal carbon dioxide is better than arterial pressure for predicting volumen responsiveness by the passive leg raising test. Intensive Care Med. 2013;39:93-100.

  11. Toupin F, Clairoux A, Deschamps A, Lebon JS, Lamarche Y, Lambert J, et al. Assessment of fluid responsiveness with end-tidal carbon dioxide using a simplified passive leg raising maneuver: a prospective observational study. Can J Anaesth. 2016;63:1033-1041.

  12. Monge García MI, Gil Cano A, Gracia Romero M, Monterroso Pintado R, Pérez Madueño V, Díaz Monrové JC. Non-invasive assessment of fluid responsiveness by changes in partial end-tidal CO2 pressure during a passive leg-raising maneuver. Ann Intensive Care. 2012;2:9.

  13. Monnet X, Marik P, Teboul JL. Passive leg raising for predicting fluid responsiveness: a systematic review and metaanalysis. Intensive Care Med. 2016;42:1935-1947.

  14. Cherpanath TG, Hirsch A, Geerts BF, et al. Predicting fluid responsiveness by passive leg raising: a systematic review and meta-analysis of 23 clinical trials. Crit Care Med. 2016;44:981-991.

  15. Hallsjo Sander C, Hallback M, Wallin M, Emtell P, Oldner A, Bjorne H. Novel continuous capnodynamic method for cardiac output assessment during mechanical ventilation. Br J Anaesth. 2014;112:824-831.

  16. Karlsson J, Winberg P, Scarr B, Lonnqvist PA, Neovius E, Wallin M, et al. Validation of capnodynamic determination of cardiac output by measuring effective pulmonary blood flow: a study in anesthetised children and piglets. Br J Anesth. 2018;121:550-558.

  17. Peyton P, Venkatesan Y, Hood S, Junor P, May C. Non-invasive, automated and continuous cardiac output monitoring by pulmonary capnodynamics: breath by breath comparison with ultrasonic flow probe. Anesthesiology. 2006;105:72-80.

  18. Peyton P, Thompson D, Junor P. Non-invasive automated measurement of cardiac output during stable cardiac surgery using a fully integrated differential CO2 Fick method. J Clin Monit Comput. 2008;22:285-292.

  19. Gedeon A, Forslund L, Hedenstierna G, Romano E. A new method for noninvasive bedside determination of pulmonary blood flow. Med Biol Eng Comput. 1980;18:411-418.

  20. Capek JM, Roy RJ. In: Webster JG, editor. Encyclopedia of medical devices and instrumentation. New York: Wiley Publishers; 1988. pp. 1309-1310.

  21. Yem JS, Tang Y, Turner MJ, Baker AB. Sources of error in noninvasive pulmonary blood flow measurements by partial rebreathing: a computer model study. Anesthesiology. 2003;98:881-887.

  22. Peyton P. Continuous minimally invasive peri-operative monitoring of cardiac output by pulmonary capnotracking: comparison with thermodilution and transesophageal echocardiography. J Clin Monit Comput. 2012;26:121-132.

  23. Isserles SA, Breen PH. Can changes in end-tidal PCO2 measure changes in cardiac output? Anesth Analg. 1991;73:808-814.

  24. Breen PH. How do changes in exhaled CO₂ measure changes in cardiac output? A numerical analysis model. J Clin Monit Comput. 2010;24:413-419.

  25. Peyton P, Robinson G, McCall P, Thompson B. Non-invasive measurement of intrapulmonary shunting. J Cardiothorac Vasc Anesth. 2004;18:47-52.

  26. Peyton P, Chong S. Minimally invasive measurement of cardiac output during surgery and critical care: a meta-analysis of accuracy and precision. Anesthesiology. 2010;113:1220-1235.

  27. Hallsjo Sander C, Lonnqvist PA, Hallback M, Sipmann FS, Wallin M, Oldner A, et al. Capnodynamic assessment of effective lung volume during cardiac output manipulations in a porcine model. J Clin Monit Comput. 2016;30:761-769.

  28. Fick A. Uber die messung des Blutquantums in den Herzventrikeln. Sitzungsberichte der Physikalisch-Medizinischen Gesellschaft zu Würzburg. 1870; 36.

  29. Laszlo G. Respiratory measurements of cardiac output: from elegant idea to useful test. J Appl Physiol. 2004;96:428-437.

  30. Defares JG. Determination of PvCO2 from the exponential CO2 rise during rebreathing. J Appl Physiol. 1952;13:159-164.



AFILIACIONES

1 Especialista en Urgencias Médico-Quirúrgicas y Medicina Crítica, Hospital General San Juan del Río. Querétaro, México.

2 Especialista en Urgencias Médico-Quirúrgicas y Medicina Crítica, Hospital CEMAIN. Tamaulipas, México.

3 Médico anestesiólogo, Hospital Idaly Medical Querétaro. Querétaro, México.

4 Profesor titular del Curso de Adiestramiento de Anestesiología Bariátrica, Baja Hospital & Medical Center. Baja California, México.
ORCID: 0000-0002-0645-1836

5 ORCID: 0000-0001-8817-7000



CORRESPONDENCIA

Dr. Manuel Alberto Guerrero-Gutiérrez. E-mail: manuelguerreromd@gmail.com




Recibido: 23-03-2023. Aceptado: 19-02-2024

Figura 1
Figura 2
Figura 3
Figura 4
Figura 5
Figura 6

2020     |     www.medigraphic.com

Mi perfil

C?MO CITAR (Vancouver)

Rev Mex Anest. 2026;49

ARTíCULOS SIMILARES

CARGANDO ...